![]() |
||||||||||||||||||
Potenzen mit gleicher Basis - Level 2 - Fortgeschritten - Blatt 2 |
||||||||||||||||||
| Dokument mit 150 Aufgaben | ||||||||||||||||||
| Hinweis: In diesem Aufgabenblatt musst du selbst entscheiden, welche der drei Potenzgesetze du anwenden musst. 1. Potenzgesetz
2. Potenzgesetz
3. Potenzgesetz
|
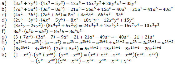
Aufgabe A4 (10 Teilaufgaben)
Multipliziere aus und fasse gegebenenfalls zusammen.![]() |
| |
Berechne und schreibe das Ergebnis mit positivem Exponenten.![]() |
| |
| Multipliziere und schreibe das Ergebnis, falls möglich, mit positivem Exponenten ( ).![]() |
| |
| Dividiere und gib das Ergebnis, falls möglich, mit positivem Exponenten an ( ).![]() |
| |
| Du befindest dich hier: |
| Potenzen mit gleicher Basis Level 2 - Fortgeschritten - Blatt 2 |


- Geschrieben von Meinolf Müller Meinolf Müller
- Zuletzt aktualisiert: 15. Juli 2021 15. Juli 2021


















).




