![]() |
2017 - 2020 Abituraufgaben BG Matrizen | Prozesse (ohne Hilfsmittel) |
| Dokument mit 8 Aufgaben |
Aufgabe A3/2017 (3 Teilaufgaben)
| 3.1 | Lösen Sie das nachfolgende lineare Gleichungssystem: 2⋅x - 3⋅y + z = 4 -x + y + z = 1 2⋅y + 3⋅z = 6 |
(3P) |
| 3.2 | In der Matrizengleichung A∙B=C hat die Matrix A zwei Zeilen und vier Spalten. Wie viele Zeilen und Spalten hat die Matrix B? |
(2P) |
| 3.3 | Die Entwicklung einer Insektenpopulation wird durch folgendes Diagramm modelliert: Aus 50 % der Eier werden Larven, von denen sich 10 % verpuppen. Aus 50 % der Puppen schlüpfen die geschlechtsreifen Insekten, die pro Insekt 40 Eier legen und anschließend sterben.Vereinfachend wird angenommen, dass jedes dieser vier Entwicklungsstadien jeweils 40 Tage benötigt. Zu Beginn zählt man 10000 Eier, 4000 Larven, 600 Pupen und 300 Insekten. Wie viele Eier, Larven, Puppen und Insekten zählt man nach dem Modell nach 40 Tagen? Begründen Sie, warum die Population nach dem obigen Modell nicht ausstirbt. |
(3P) |
| |
Aufgabe A3/2018 (2 Teilaufgaben)
| 3.1 | Lösen Sie das nachfolgende lineare Gleichungssystem: x1 + x2 + x3 = 4 2x1 - x2 + 3x3 = 3 3x2 - x3 = 5 |
(3P) |
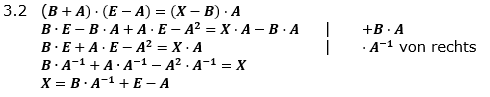
| 3.2 | Im Folgenden sind alle vorliegenden (n×n)–Matrizen invertierbar. E ist die Einheitsmatrix. Lösen Sie die Matrizengleichung |
|
| (B+A)⋅(E-A)=(X-B)⋅A | ||
| nach E auf und vereinfachen Sie so weit wie möglich. | (4P) |
| |
Aufgabe A3/2019 (3 Teilaufgaben)
| 3.1 | Bestimmen Sie die Lösungsmenge des folgenden linearen Gleichungssystems: x + y = 5/3 y - 2z = 3 y + z = 2 |
(3P) |
| 3.2 | Im Folgenden ist E= die Einheitsmatrix und A eine Matrix mit A⋅A=E. |
|
| 3.2.1 | Berechnen Sie die Werte für a und b, falls A= . |
(3P) |
| 3.2.2 | Lösen Sie die folgende Matrizengleichung nach der 2×2-Matrix X auf: (A2-2X)A=2XA |
(3P) |
| |
Aufgabe A3/2020 (3 Teilaufgaben)
| 3.1 | Betrachtet werden die Matrizen A, B, C und D. A hat 3 Zeilen und 7 Spalten, d.h. das Format von A ist 3 x 7. B hat das Format 7 x 2 und D=A⋅B⋅C hat das Format 3 x 4. |
|
| Geben Sie das Format der Matrix C an. | (2P) | |
| 3.2 | Betrachtet wird eine Matrix Q und ihre Inverse R=Q-1 Vereinfachen Sie den Term (R∙Q(4⋅Q)-2⋅Q⋅R∙Q)∙R so weit wie möglich. |
(2P) |
| 3.3 | Gegeben sind die Matrizen | |
mit ![]() |
||
| Es gilt Z=X⋅Y. Bestimmen Sie alle möglichen Werte für a, b und c. Geben Sie die Anzahl der Lösungen der Form (a;b;c) an. |
(4P) |
| |
| Du befindest dich hier: |
| 2017 - 2020 Abituraufgaben BG Matrizen | Prozesse (ohne Hilfsmittel) |


- Geschrieben von Meinolf Müller Meinolf Müller
- Zuletzt aktualisiert: 29. August 2021 29. August 2021


Aus 50 % der Eier werden Larven, von denen sich 10 % verpuppen. Aus 50 % der Puppen schlüpfen die geschlechtsreifen Insekten, die pro Insekt 40 Eier legen und anschließend sterben.




die Einheitsmatrix und
.

mit 


