![]() |
Logarithmengesetze - Level 2 - Fortgeschritten - Blatt 1 |
| Dokument mit 22 Aufgaben |
Aufgabe A1 (9 Teilaufgaben)
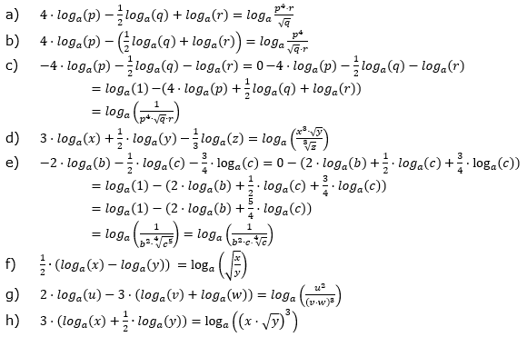
| Zerlege nach den Logarithmen-Gesetzen in Einzelterme. (Alle Buchstaben vertreten positive Zahlen und es ist a ≠ 1.) | |||||
| a) | ![]() |
b) | ![]() |
c) | ![]() |
| d) | ![]() |
e) | ![]() |
f) | ![]() |
| g) | ![]() |
h) | ![]() |
i) | ![]() |
| |
Aufgabe A2 (8 Teilaufgaben)
| Fasse zusammen zu einem Logarithmus. (Alle Buchstaben vertreten positive Zahlen und es ist a ≠ 1.) | |||
| a) | ![]() |
b) | ![]() |
| c) | ![]() |
d) | ![]() |
| e) | ![]() |
f) | ![]() |
| g) | ![]() |
h) | ![]() |
| |
Aufgabe A3 (5 Teilaufgaben)
| Fasse den Term zu einem Logarithmusterm zusammen. | |
| a) | ![]() |
| b) | ![]() |
| c) | ![]() |
| d) | ![]() |
| e) | ![]() |
| |
| Du befindest dich hier: |
| Logarithmengesetze - Level 2 - Fortrgeschritten - Blatt 1 |


- Geschrieben von Meinolf Müller Meinolf Müller
- Zuletzt aktualisiert: 16. Juli 2021 16. Juli 2021




























