![]() |
Abituraufgaben allg. bildendes Gymnasium Pflichtteil Ableitungen |
Aufgaben der Prüfungsjahre 2004 - 2018 BW |
| Dokument mit 15 Aufgaben |
Aufgabe A1/04
Bilden Sie die Ableitung der Funktion f mit und vereinfachen Sie f'(x). |
| |
Aufgabe A1/05
| Bilden Sie die Ableitung der Funktion f mit f(x)=x3⋅ e2x. |
| |
| f(x)=x3 ⋅ e2x | Produktregel erforderlich. |

| |
Aufgabe A1/06
Bilden Sie die Ableitung der Funktion f mit . |
| |
Aufgabe A1/07
| Bilden Sie die Ableitung der Funktion f mit f(x)=(1+sin(x))2. |
| |
| f(x)=(1+sin(x))2 | Kettenregel erforderlich. |

| |
Aufgabe A1/08
Bilden Sie die Ableitung der Funktion f mit . |
| |
Aufgabe A1/09
| Bilden Sie die Ableitung der Funktion f mit f(x)=x2 ⋅ sin(3x+1). |
| |
| f(x)=x2 ⋅ sin(3x+1) | Produktregel erforderlich. |

| |
Aufgabe A1/10
| Bilden Sie die Ableitung der Funktion f mit f(x)=(2-3x) ⋅ e-x und vereinfachen Sie so weit wie möglich. |
| |
| f(x)=(2-3x) ⋅ e-x | Produktregel erforderlich. |

| |
Aufgabe A1/12
| Bilden Sie die Ableitung der Funktion f mit f(x)=(sin(x)+7)5. |
| |
| f(x)=(sin(x)+7)5 | Kettenregel erforderlich. |

| |
Aufgabe A1/13
| Bilden Sie die Ableitung der Funktion f mit f(x)=(2x2+5) ⋅ e-2x. |
| |
| f(x)=(2x2+5) ⋅ e-2x | Produktregel erforderlich. |

| |
Aufgabe A1/14
Bilden Sie die Ableitung der Funktion f mit . |
| |
Aufgabe A1/15
Bilden Sie die Ableitung der Funktion f mit . |
| |
| f(x)=(4+e3x)5 Kettenregel erforderlich. | |
| _______________________________________ | |
![]() |
|
| |
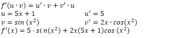
Aufgabe A1/16
| Bilden Sie die Ableitung der Funktion f mit f(x)=(5x+1) ⋅ sin(x2). |
| |
| f(x)=(5x+1) ⋅ sin(x2) | Produktregel und Kettenregel erforderlich. |

| |
Aufgabe A1/17
| Bilden Sie die Ableitung der Funktion f mit f(x)=(3+cos(x))4. |
| |
| f(x)=(3+cos(x))4 | Potenzregel und Kettenregel erforderlich. |

| |
Aufgabe A1/18
Bilden Sie die Ableitung der Funktion f mit . |
| |
| Du befindest dich hier: |
| Abituraufgaben allg. Gymnasium Pflichtteil Ableitungen 2004 - 2018 |


- Geschrieben von Meinolf Müller Meinolf Müller
- Zuletzt aktualisiert: 17. Juli 2021 17. Juli 2021


und vereinfachen Sie f'(x).

.

.
.
.

.
.


