![]() |
Abituraufgaben allg. Gymnasium Pflichtteil Integral und Stammfunktion
|
Aufgaben der Prüfungsjahre ab 2004 - 2018 BW |
| Dokument mit 15 Aufgaben |
Aufgabe A2/04
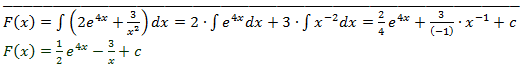
Geben Sie eine Stammfunktion der Funktion f mit an. |
| |
Aufgabe A2/05
Bestimmen Sie eine Stammfunktion der Funktion f mit . |
| |
Aufgabe A2/06
Geben Sie eine Stammfunktion der Funktion f mit . |
| |
Aufgabe A2/08
| G ist eine Stammfunktion der Funktion g mit g(x)=2-3 ⋅ sin(4x). Der Punkt P(0|1) liegt auf dem Schaubild von G. Bestimmen Sie einen Funktionsterm von G. |
| |
Aufgabe A2/12
Bestimmen Sie eine Stammfunktion der Funktion f mit . |
| |
Aufgabe A2/13
Gegeben ist die Funktion f mit f(x)=4sin(2x). Bestimmen Sie diejenige Stammfunktion F von f mit . |
| |
Aufgabe A2/16
Gegeben ist die Funktion f mit .Bestimmen Sie diejenige Stammfunktion F von f mit F(3)=1. |
| |
Aufgabe A3/17
Gegeben ist die Funktion f mit .Berechnen Sie den Inhalt der markierten Fläche. |
| |
LösungslogikIn der Grafik erkennen wir, dass sich die zu berechnende Fläche zusammensetzt aus den Teilflächen und . Während ein Rechteck mit den Kantenlängen und ist, muss über das Integral unter der Kurve von bis berechnet werden.![]() |
| |
Aufgabe A2/18
Untersuchen Sie, ob der Wert des Integrals ganzzahlig ist. |
| |
| Du befindest dich hier: |
| Abituraufgaben Pflichtteil Integral und Stammfunktion ab 2004 - 2018 |


- Geschrieben von Meinolf Müller Meinolf Müller
- Zuletzt aktualisiert: 02. August 2019 02. August 2019


an.



.


.
.


.

.

.

.

.

.

.
.
Gegeben ist die Funktion f mit
.
Lösungslogik
und
. Während
und
ist, muss 
ganzzahlig ist.


