![]() |
Gleichungen Übungsaufgaben Realschulabschluss |
| Dokument mit 6 Aufgaben |
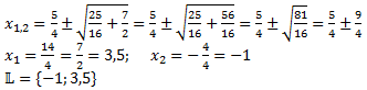
Aufgabe A6
| a) | Ermitteln Sie zunächst die Lösungsmenge der Gleichung. |
| b) | Was besagt diese über die Lage der zur entsprechenden Funktionsgleichung gehörenden Parabeln? |
![]() |
| |
| Du befindest dich hier: |
| Gleichungen Übungsaufgaben Realschulabschluss |


- Geschrieben von Meinolf Müller Meinolf Müller
- Zuletzt aktualisiert: 16. Juli 2021 16. Juli 2021


























