![]() |
Lineare Gleichungssysteme Pflichtteilaufgaben Realschulabschluss |
| Dokument mit 8 Aufgaben |
Hinweis zu den Lösungen von linearen Gleichungssystemen
Hier wird ausschließlich das Additions- bzw. das Subtraktionsverfahren angewandt. Auf das Einsetzungs- bzw. Gleichsetzungsverfahren wird wegen dessen Fehleranfälligkeit komplett verzichtet. |
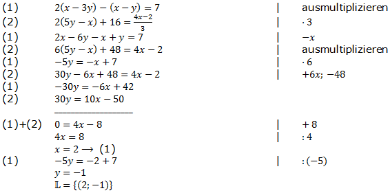
Aufgabe P3/2004
| Lösen Sie das folgende Gleichungssystem: | ||
| (1) | ![]() |
|
| (2) | ![]() |
![]() |
| |
Aufgabe P5/2006
| Lösen Sie das folgende Gleichungssystem: | ||
| (1) | ![]() |
|
| (2) | ![]() |
![]() |
| |
Aufgabe P6/2008
| Lösen Sie das folgende Gleichungssystem: | ||
| (1) | ![]() |
|
| (2) | ![]() |
![]() |
| |
Aufgabe P4/2010
| Lösen Sie das folgende Gleichungssystem: | ||
| (1) | ![]() |
|
| (2) | ![]() |
![]() |
| |
Aufgabe P5/2012
| Lösen Sie das folgende Gleichungssystem: | ||
| (1) | ![]() |
|
| (2) | ![]() |
![]() |
| |
Aufgabe P6/2015
| Lösen Sie das folgende Gleichungssystem: | ||
| (1) | ![]() |
|
| (2) | ![]() |
![]() |
| |
Aufgabe P5/2019
| Lösen Sie das folgende Gleichungssystem: | ||
| (1) | ![]() |
|
| (2) | ![]() |
![]() |
| |
Aufgabe A3/2023
| Lösen Sie das Gleichungssystem: | ||
| (1) | ![]() |
|
| (2) | ![]() |
![]() |
| |
| Du befindest dich hier: |
| Lineare Gleichungssysteme Pflichtteilaufgaben Realschulabschluss |


- Geschrieben von Meinolf Müller Meinolf Müller
- Zuletzt aktualisiert: 18. August 2024 18. August 2024



































