![]() |
Abitur-Musteraufgaben Ableitungen Pflichtteil ab 2019 |
| Dokument mit 13 Aufgaben |
Aufgabe M01
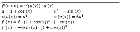
| Bilden Sie die Ableitung der Funktion f mit f(x)=(2-cos(x))3. |
| |
Aufgabe M02
| Bilden Sie die Ableitung der Funktion f mit f(x)=(x2-3)⋅sin(3x). |
| |
Aufgabe M03
| Bilden Sie die Ableitung der Funktion f mit f(x)=(3-e-2x)3. |
| |
Aufgabe M04
| Bilden Sie die Ableitung der Funktion f mit f(x)=x4⋅(e2x+1). |
| |
Aufgabe M05
Bilden Sie die Ableitung der Funktion f mit . |
| |
Aufgabe M06
| Bilden Sie die Ableitung der Funktion f mit f(x)=e-3x⋅(x2 +1) und vereinfache Sie so weit wie möglich. |
| |
| Du befindest dich hier: |
| Abitur-Musteraufgaben Ableitungen Pflichtteil ab 2019 |


- Geschrieben von Meinolf Müller Meinolf Müller
- Zuletzt aktualisiert: 18. Juli 2021 18. Juli 2021






.







.




