![]() |
2023 Abitur allg. Gymnasium Leistungskurs Pflichtteil Satz 1
|
Aufgaben des Prüfungsjahres 2023 BW |
Aufgabe A1 (2 Teilaufgaben)
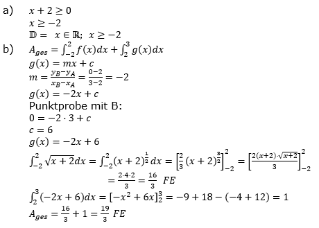
Die Abbildung zeigt den Graphen der Funktion f mit und die Gerade durch die Punkte A(2|2) und B(3|0). |
![]() |
|
| a) | Geben Sie die maximale Definitionsmenge der Funktion f an. | |
| b) | Bestimmen Sie den Inhalt der markierten Fläche. | |
| |
Aufgabe A2
Die Abbildung in der Anlage zeigt den Graphen der in definierten Funktion f, dessen einzige Extrempunkte A(-1|1) und B(0|0) sind, sowie den Punkt P. |
|
| a) | Geben Sie die Koordinaten des Tiefpunkts des Graphen der in definierten Funktion g mit g(x)=-f(x-3) an. |
| b) | Der Graph einer Stammfunktion von f verläuft durch P. Skizzieren Sie diesen Graphen in der Abbildung. |
![]() |
|
| |
Aufgabe A3 (2 Teilaufgaben)
Die Abbildung zeigt den Graphen einer in definierten Funktion f. |
![]() |
|
| a) | Beurteilen Sie die folgende Aussage: „Für jeden Wert von x mit 0 ≤x ≤ 2 ist die Steigung des Graphen von f kleiner als 3.“ | |
| b) | Mit dem Term kann das Volumen eines Körpers berechnet werden. Begründen Sie, dass dieses Volumen größer als ist. |
|
| |
Aufgabe A4 (2 Teilaufgaben)
Gegeben sind die Gerade . |
|
| a) | Zeigen Sie, dass g in der Ebene E: x1+x2+x3=2 liegt. |
| b) | Gegeben ist außerdem die Schar der Geraden und .Weisen Sie nach, dass g und ha für jeden Wert von a windschief sind. |
| |
Aufgabe A5 (2 Teilaufgaben)
Gegeben ist die Gerade g mit und h mit . |
|
| a) | Begründen Sie, dass g und h nicht identisch sind. |
| b) | Die Gerade g soll durch Spiegelung an einer Ebene auf die Gerade h abgebildet werden. Bestimmen Sie eine Gleichung einer geeigneten Ebene und erläutern Sie Ihr Vorgehen. |
| |
Aufgabe A6 (2 Teilaufgaben)
| In einem Behälter befinden sich fünf Kugeln, auf denen jeweils eine Zahl steht. Auf drei der Kugeln steht die Zahl 2, auf zwei der Kugeln die negative Zahl a. Zweimal nacheinander wird eine Kugel zufällig entnommen und wieder zurückgelegt. | |
| a) | Geben Sie im Sachzusammenhang ein Ereignis an, dessen Wahrscheinlichkeit mit dem Term berechnet werden kann. |
| b) | Die Zufallsgröße X gibt das Produkt der Zahlen an, die auf den beiden entnommenen Kugeln stehen. Der Erwartungswert von X ist 4. Bestimmen Sie den Wert von a. |
| |
| Du befindest dich hier: |
| 2023 Abitur allg. Gymnasium Leistungskurs Pflichtteil Satz 1 |


- Geschrieben von Meinolf Müller Meinolf Müller
- Zuletzt aktualisiert: 27. August 2023 27. August 2023


und die Gerade durch die Punkte A(2|2) und B(3|0).


definierten Funktion f, dessen einzige Extrempunkte A(-1|1) und B(0|0) sind, sowie den Punkt P.


definierten Funktion f.
kann das Volumen eines Körpers berechnet werden. Begründen Sie, dass dieses Volumen größer als
ist.
.
und
.
und h mit
.



berechnet werden kann.

