![]() |
Besondere Pyramiden Übungsaufgaben Realschulabschluss |
| Dokument mit 4 Aufgaben |
Aufgabe A1
| Von einer regelmäßigen fünfseitigen Pyramide sind gegeben: | ||
| s=14,8 cm | (Seitenkante) | |
| h=12,3 cm | (Höhe) | |
| Berechnen Sie die Oberfläche O der Pyramide. | ||
| Lösung: O=499,5 cm2 | ||
| |
Aufgabe A2
| Von einer regelmäßigen dreiseitigen Pyramide sind gegeben: | ||
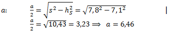
| s=7,8 cm | (Seitenkante) | |
| hS=7,1 cm | (Höhe der Seitenfläche) | |
| Berechnen Sie die Volumen V der Pyramide. | ||
| Lösung: V=41,1 cm3 | ||
| |
Aufgabe A3
| Das Volumen einer regelmäßigen sechsseitigen Pyramide ist 133,8 cm3 groß. Die Körperhöhe h ist 7,3 cm lang. Berechnen Sie die Größe der Mantelfläche M der Pyramide. |
| Lösung: M=114,8 cm2 |
| |
Aufgabe A4
| Die Zeichnung zeigt einen zu einem Parallelogramm umgelegten Mantel einer regelmäßigen achtseitigen Pyramide. Es gilt: |
![]() |
|
| M=267,8 cm2 | ||
| e=21,6 cm | ||
| Berechnen Sie den Neigungswinkel ε der Seitenkanten s zur Grundfläche der Pyramide. Für das Volumen einer zweiten Pyramide mit derselben Grundfläche gilt: |
||
| V=2216,0 cm3. | ||
| Berechnen Sie die Körperhöhe dieser Pyramide. | ||
| Lösung: ε=56,2 ° h=47,2 cm |
||
| |
| Du befindest dich hier: |
| Besondere Pyramiden Übungsaufgaben Realschulabschluss |


- Geschrieben von Meinolf Müller Meinolf Müller
- Zuletzt aktualisiert: 06. Oktober 2019 06. Oktober 2019































