![]() |
Bruchgleichungen Pflichtteilaufgaben Realschulabschluss |
| Dokument mit 7 Aufgaben |
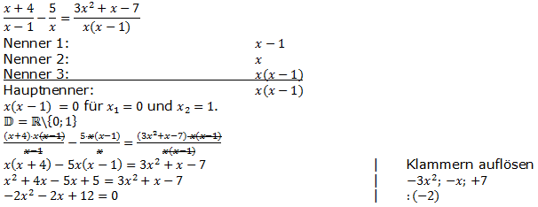
Aufgabe P5/2003
| Bestimmen Sie die Definitions- und Lösungsmenge der Gleichung: | |
![]() |
![]() |
| |
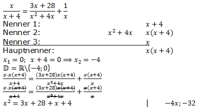
Aufgabe P5/2008
| Bestimmen Sie die Definitions- und Lösungsmenge der Gleichung: | |
![]() |
![]() |
| |
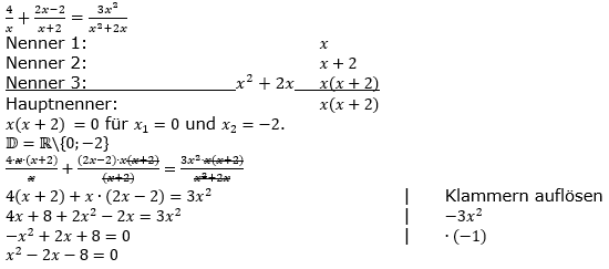
Aufgabe P5/2009
| Bestimmen Sie die Definitions- und Lösungsmenge der Gleichung: | |
![]() |
![]() |
| |
Aufgabe P4/2011
| Bestimmen Sie die Definitions- und Lösungsmenge der Gleichung: | |
![]() |
![]() |
| |
Aufgabe P5/2014
| Bestimmen Sie die Definitions- und Lösungsmenge der Gleichung: | |
![]() |
![]() |
| |
Aufgabe P5/2016
| Geben Sie die Definitionsmenge und Lösungsmenge der Gleichung an. | |
![]() |
![]() |
| |
Aufgabe P5/2018
| Geben Sie die Definitionsmenge und Lösungsmenge der Gleichung an. | |
![]() |
![]() |
| |
| Du befindest dich hier: |
| Bruchgleichungen Pflichtteilaufgaben Realschulabschluss |


- Geschrieben von Meinolf Müller Meinolf Müller
- Zuletzt aktualisiert: 05. Oktober 2019 05. Oktober 2019


































