![]() |
Bruchgleichungen Wahlteilaufgaben Realschulabschluss |
| Dokument mit 5 Aufgaben |
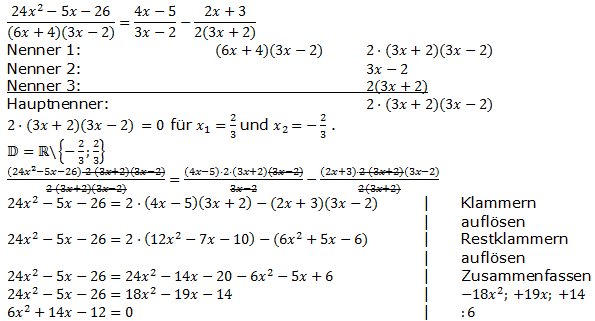
Aufgabe W3b/2003
| Bestimmen Sie die Definitions- und Lösungsmenge der Gleichung: | |
![]() |
![]() |
| |
Aufgabe W2b/2004
| Bestimmen Sie die Definitions- und Lösungsmenge der Gleichung: | |
![]() |
![]() |
| |
Aufgabe W2b/2005
| Bestimmen Sie die Definitions- und Lösungsmenge der Gleichung: | |
![]() |
![]() |
| |
Aufgabe W2b/2006
| Bestimmen Sie die Definitions- und Lösungsmenge der Gleichung: | |
![]() |
![]() |
| |
Aufgabe W2b/2007
| Bestimmen Sie die Definitions- und Lösungsmenge der Gleichung: | |
![]() |
![]() |
| |
| Du befindest dich hier: |
| Bruchgleichungen Wahlteilaufgaben Realschulabschluss |


- Geschrieben von Meinolf Müller Meinolf Müller
- Zuletzt aktualisiert: 05. Oktober 2019 05. Oktober 2019




























