![]() |
Trigonometrie Wahlteilaufgaben 2003-2009 (nur 'e') Realschulabschluss |
| Dokument mit 7 Aufgaben |
Aufgabe W4b/2003
Im nebenstehenden Dreieck ABC ist M der Mittelpunkt von . Zeigen Sie ohne Verwendung gerundeter Werte, dass gilt: |
![]() |
|
![]() |
||
| |
Aufgabe W3b/2004
| Im Rechteck ABCD gilt: | ![]() |
|
![]() |
||
| β1 = 30 ° | ||
| Zeigen Sie, dass sich der Flächeninhalt des Vierecks ASED mit der Formel | ||
![]() |
||
| berechnen lässt. | ||
| |
Aufgabe W1b/2005
| Gegeben ist das rechtwinklige Trapez. Zeigen Sie ohne Verwendung gerundeter Werte, dass gilt: |
![]() |
|
![]() |
||
| |
Aufgabe W1b/2006
Nebenstehende Figur zeigt ein rechtwinkliges Dreieck mit Katheten- und Hypothenusenquadrat. Zeigen Sie ohne Verwendung gerundeter Werte: Der Abstand des Punktes F von der Geraden DE beträgt . |
| |
Aufgabe W1b/2007
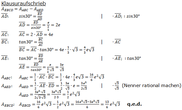
Im rechtwinkligen Dreieck ABC ist D der Mittelpunkt der Seite . Zeigen Sie ohne Verwendung gerundeter Werte, dass der Flächeninhalt des Vierecks EBCD mit der Formel |
![]() |
|
![]() |
||
| berechnet werden kann. | ||
| |
Aufgabe W1b/2008
Gegeben ist das Dreieck ABC. Der Punkt M halbiert die Strecke . Weisen Sie ohne Verwendung gerundeter Werte nach, dass für den Flächeninhalt des Dreiecks ABM gilt: |
![]() |
|
![]() |
||
| |
Aufgabe W1b/2009
| Gegeben ist das rechtwinklige Dreieck ABC. Es gilt: |
![]() |
|
![]() |
||
![]() |
||
| Zeigen Sie ohne Verwendung gerundeter Werte, dass der Umfang des Dreiecks ABC mit der Formel | ||
![]() |
||
| berechnet werden kann. | ||
| |
| Du befindest dich hier: |
| Trigonometrie Wahlteilaufgaben 2003-2009 (nur 'e') Realschulabschluss |


- Geschrieben von Meinolf Müller Meinolf Müller
- Zuletzt aktualisiert: 09. Oktober 2019 09. Oktober 2019


. 






















Nebenstehende Figur zeigt ein rechtwinkliges Dreieck mit Katheten- und Hypothenusenquadrat. Zeigen Sie ohne Verwendung gerundeter Werte: Der Abstand des Punktes F von der Geraden DE beträgt
.



. Zeigen Sie ohne Verwendung gerundeter Werte, dass der Flächeninhalt des Vierecks EBCD mit der Formel





. Weisen Sie ohne Verwendung gerundeter Werte nach, dass für den Flächeninhalt des Dreiecks ABM gilt:

















