![]() |
Abituraufgaben Basisfach Stochastik Mustersatz M05
|
Aufgabe M05 (4 Teilaufgaben)
| Für eine statistische Untersuchung wurden an einem bestimmten Tag an zwei Schulen getrennt voneinander Daten erhoben. Dabei wurden jeweils für die Schüler der beiden Schulen folgende Merkmale untersucht: | |||
| • | Schüler kam mit dem Bus zur Schule (B: mit Bus; nicht mit Bus). |
||
| • | Schüler kam pünktlich zum Unterricht (P: pünktlich; nicht pünktlich). |
||
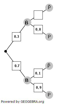
| Die Ergebnisse sind für Schule 1 in absoluten Zahlen gegeben und für Schule 2 in Form eines Baumdiagramms. | |||
| Schule 1 | Schule 2 | ||
| Von den 1000 Schülern der Schule kamen 600 Schüler mit dem Bus, wovon 510 pünktlich waren. Von den Schülern, die nicht mit dem Bus kamen, waren 340 pünktlich. |
![]() |
||
| Die folgenden Aufgabenstellungen beziehen sich auf den Tag der Untersuchung für zufällig ausgewählte Schüler der jeweiligen Schule. | |||
| a) | Bestimmen Sie für einen Schüler der Schule 1 die Wahrscheinlichkeit der folgenden Ereignisse: | ||
| E: | „Der Schüler kam mit dem Bus und wahr pünktlich.“ | ||
| F: | „Der Schüler kam pünktlich.“ | ||
| G: | „Der Schüler kam weder mit dem Bus, noch war er pünktlich.“ | ||
| b) | Ermitteln Sie die Wahrscheinlichkeiten der Ereignisse E, F und G aus Teilaufgabe a) für einen Schüler von Schule 2. | ||
| c) | Von Schule 1 werden 10 Schüler zufällig ausgewählt. Die Zufallsgröße X gibt an, wie viele Schüler mit dem Bus kamen. Man geht von folgender Annahme aus: X ist binomialverteilt. Begründen Sie, dass diese Annahme nur näherungsweise gilt. Berechnen Sie unter Verwendung dieser Annahme die Wahrscheinlichkeit, dass mindestens die Hälfte der ausgewählten Schüler mit dem Bus kam. |
||
| d) | Zeichnen Sie ein Baumdiagramm für Schule 2, bei dem in der Verzweigung der ersten Stufe zwischen pünktlich (P) und nicht pünktlich ( ) unterschieden wird und in der Verzweigung der zweiten Stufe zwischen Bus (B) und nicht Bus ( ).Ermitteln Sie alle Wahrscheinlichkeiten, die an den Ästen stehen. |
||
| |
| Du befindest dich hier: |
| Abituraufgaben Basisfach Stochastik Mustersatz M05 |


- Geschrieben von Meinolf Müller Meinolf Müller
- Zuletzt aktualisiert: 19. Juli 2021 19. Juli 2021


nicht mit Bus).
nicht pünktlich).



