![]() |
Mustersatz 03 Wahlteil Analytische Geometrie Abitur ab 2019 |
| Dokument mit 5 Aufgaben |
Aufgabe M03B1
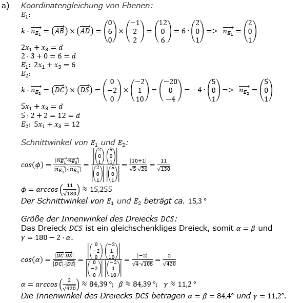
Das skizzierte Kirchturmdach hat eine quadratische Grundfläche.Die Vorderseite ist festgelegt durch die Punkte A(3|3|0), B(3|9|0), C(2|1|2), D(2|-1|2) sowie S(0|0|12). Ein weiterer Punkt des Daches ist F(1|2|2) (1 LE ≜1 m). Die Punkte A, B, C, D liegen in der Ebene E1; die Punkte C, D, S in der Ebene E2. Eine Längeneinheit entspricht einem Meter in der Realität. |
|
| a) | Geben Sie die Koordinatendarstellungen der Ebenen E1 und E2 an. Berechnen Sie das Maß des Winkels unter dem sich die Ebenen E1 und E2 schneiden. Bestimmen Sie die Größe der Innenwinkel des Dreiecks DCS. |
| b) | Das Kirchturmdach soll neu gedeckt werden. Der Materialpreis für die Neueindeckung beträgt 53 € pro m2 zuzüglich Mehrwertsteuer (19 %). Berechnen Sie den Materialpreis (incl. MwSt.) für die Eindeckung des gesamten Dachs. |
| c) | Die Dachkante CS soll durch einen im Punkt R(0|0|2) gelagerten Balken abgestützt werden. Dabei soll der Balken senkrecht auf der Dachkante CS stehen. Bestimmen Sie den Punkt, in dem der Balken die Dachkante CS berührt. Berechnen Sie die Länge des Balkens. |
| d) | Im Punkt R(0|0|2) ist weiterhin eine 4 m lange Fahnenstange verankert, die senkrecht auf der Ebene E2: 5x1+x3=12 steht. Ist diese Stange als Fahnenstange zu verwenden, wenn sie zur Aufhängung der Fahne mindestens 2 m ins Freie ragen muss? |
| e) | Das Kirchturmdach ruht auf einem quaderförmig gemauerten Turm mit der Höhe 18 m. Die Kirchturmspitze befindet sich also 30 m über dem als eben angenommenen Erdboden. Paralleles Sonnenlicht fällt auf den Kirchturm in Richtung des Vektors .Berechnen Sie den Abstand zwischen dem Schattenpunkt von S auf dem Erdboden und dem lotrecht unter dem Punkt A auf dem Erdboden liegenden Eckpunkt des Turms. |
| |
| Du befindest dich hier: |
| Mustersatz 03 Wahlteil Analytische Geometrie Abitur ab 2019 |


- Geschrieben von Meinolf Müller Meinolf Müller
- Zuletzt aktualisiert: 29. April 2020 29. April 2020


Das skizzierte Kirchturmdach hat eine quadratische Grundfläche.
.





