Betrachtet wird der abgebildete Würfel ABCDEFGH. Die Eckpunkte D, E, F und H dieses Würfels besitzen in einem kartesischen Koordinatensystem die folgenden Koordinaten: D(0|0|-2), E(2|0|0), F(2|2|0) und H(0|0|0).
| a) |
Zeichnen Sie in die Abbildung die Koordinatenachsen ein und bezeichnen Sie diese. Geben Sie die Koordinaten des Punktes A an. |
| b) |
Der Punkt P liegt auf der Kante des Würfels und hat vom Punkt H den Abstand 3. Berechnen Sie die Koordinaten des Punktes P. |
|
| Gegeben sind die Punkte A(-2|1|4) und B(-4|0|6). |
| c) |
Bestimmen Sie die Koordinaten des Punkts C so, dass gilt: . |
| d) |
Durch die Punkte A und B verläuft die Gerade g. Betrachtet werden Geraden, für welche die Bedingungen I und II gelten:
| I |
Jede dieser Geraden schneidet die Gerade g orthogonal. |
| II |
Der Abstand jeder dieser Geraden vom Punkt A beträgt 3. |
Ermitteln Sie eine Gleichung für eine dieser Geraden. |
| In einem kartesischen Koordinatensystem legen die Punkte A(6|3|3), B(3|6|3) und C(3|3|6) das gleichseitige Dreieck ABC fest. |
| e) |
Ermitteln Sie eine Gleichung der Ebene E, in der das Dreieck ABC liegt, in Koordinatenform. (Teilergebnis: E: x1+x2+x3=12) |
| Spiegelt man die Punkte A, B und C am Symmetriezentrum Z(3|3|3), so erhält man die Punkte A', B' bzw. C'. |
| f) |
Beschreiben Sie die Lage der Ebene, in der die Punkte A, B und Z liegen, im Koordinatensystem. Zeigen Sie, dass die Strecke senkrecht auf dieser Ebene steht. |
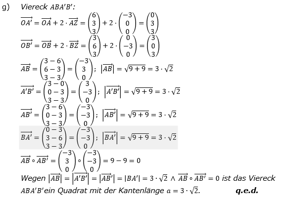
| g) |
Begründen Sie, dass das Viereck ABA'B' Quadrat mit der Seitenlänge 3√2 ist. |
Der Körper ABA'B'CC' ist ein sogenanntes Oktaeder. Er besteht aus zwei Pyramiden mit dem Quadrat ABA'B' als gemeinsamer Grundfläche und den Pyramidenspitzen C bzw. C'.
| h) |
Weisen Sie nach, dass das Oktaeder das Volumen 36 besitzt. |
| i) |
Bestimmen Sie die Größe des Winkels zwischen den Seitenflächen ABC und AC'B. |
|
| j) |
Alle Eckpunkte des Oktaeders liegen auf einer Kugel. Geben Sie eine Gleichung dieser Kugel an. Berechnen Sie den Anteil des Oktaeder-Volumens am Kugelvolumen. |