![]() |
Mustersatz 10 Wahlteil Analytische Geometrie Abitur ab 2019 |
| Dokument mit 10 Aufgaben |
Aufgabe M10B1
| Die Punkte A(1|1|1), B(0|2|2) und C(-1|2|0) liegen in der Ebene E. | |
| a) | Bestimmen Sie eine Gleichung von E in Normalenform und Koordinatenform. |
| b) | Geben Sie die Koordinaten des Schnittpunkts von E mit der x2-Achse an. |
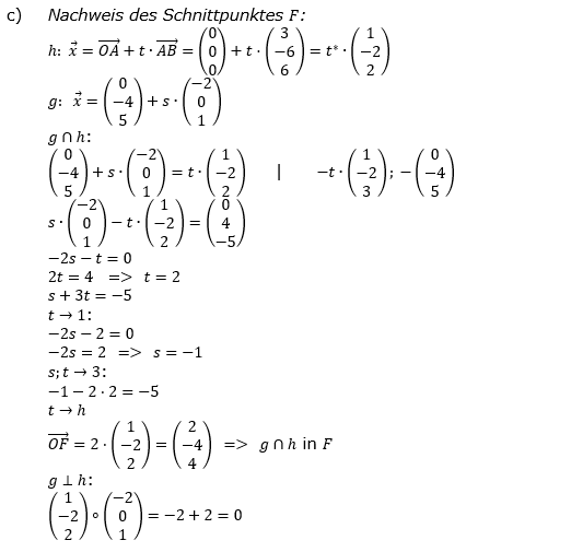
| Gegeben sind die Punkte A(0|0|0), B(3|-6|6) und F(2|-4|4) sowie die Gerade | |
. |
|
| c) | Die Gerade h verläuft durch die Punkte A und B. Zeigen Sie, dass sich g und h im Punkt F senkrecht schneiden. |
| d) | Ein Punkt C liegt auf g und ist verschieden von F. Geben Sie die besondere Bedeutung der Strecke im Dreieck ABC an. |
Die Abbildung zeigt modellhaft wesentliche Elemente einer Kletteranlage: zwei horizontale Plattformen, die jeweils um einen vertikal stehenden Pfahl gebaut sind, sowie eine Kletterwand, die an einer der beiden Plattformen angebracht ist.![]() Im verwendeten Koordinatensystem beschreibt die x1x2-Ebene den horizontalen Untergrund. Die Plattformen und die Kletterwand werden als ebene Vielecke betrachtet. Eine Längeneinheit entspricht 1 m in der Wirklichkeit. Die Punkte, in denen die Pfähle aus dem Untergrund austreten, werden durch P1(0|0|0) und P2(5|10|0) dargestellt. Außerdem sind die Eckpunkte A(3|0|2), B(0|3|2), E(6|0|0), F(0|6|0), R(5|7|3) und T(2|10|3) gegeben. Die Materialstärke aller Bauteile der Anlage soll vernachlässigt werden. |
|
| e) | In den Mittelpunkten der oberen und unteren Kante der Kletterwand sind die Enden eines Seils befestigt, das 20 % länger ist als der Abstand der genannten Mittelpunkte. Berechnen Sie die Länge des Seils. |
| f) | Die Punkte A, B, E und F liegen in der Ebene L. Ermitteln Sie eine Gleichung von L in Koordinatenform. (zur Kontrolle: L: 2x1+2x2+3x3=12) |
| g) | Zeigen Sie, dass die Kletterwand die Form eines Trapezes hat. |
| h) | Bestimmen Sie die Größe des Winkels, den die Kletterwand mit dem Untergrund einschließt. |
| Über ein Kletternetz kann man von einer Plattform zur anderen gelangen. Die vier Eckpunkte des Netzes sind an den beiden Pfählen befestigt. Einer der beiden unteren Eckpunkte befindet sich an Pfahl 1 auf der Höhe der zugehörigen Plattform, der andere untere Eckpunkt an Pfahl 2 oberhalb der Plattform 2. An jedem Pfahl beträgt der Abstand der beiden dort befestigten Eckpunkte des Netzes 1,80 m. Das Netz ist so gespannt, dass davon ausgegangen werden kann, dass es die Form eines ebenen Vierecks hat. | |
| i) | Berechnen Sie den Flächeninhalt des Netzes und erläutern Sie Ihren Ansatz. |
| j) | Die untere Netzkante berührt die Plattform 2 an der Seite, die durch die Strecke dargestellt wird. Betrachtet wird der untere Eckpunkt des Netzes, der oberhalb der Plattform 2 befestigt ist. Im Modell hat dieser Eckpunkt die Koordinaten (5|10|h) mit einer reellen Zahl h>3. Die untere Netzkante liegt auf der Geraden .Berechnen Sie den Abstand des betrachteten Eckpunkts von der Plattform 2. |
| |
| Du befindest dich hier: |
| Mustersatz 10 Analytische Geometrie Abitur ab 2109 |


- Geschrieben von Meinolf Müller Meinolf Müller
- Zuletzt aktualisiert: 29. April 2020 29. April 2020


.
im Dreieck ABC an.
dargestellt wird. Betrachtet wird der untere Eckpunkt des Netzes, der oberhalb der Plattform 2 befestigt ist. Im Modell hat dieser Eckpunkt die Koordinaten (5|10|h) mit einer reellen Zahl h>3. Die untere Netzkante liegt auf der Geraden
.






