![]() |
Kreiskegel Kugel Pflichtteilaufgaben Realschulabschluss
|
| Dokument mit 5 Aufgaben |
Aufgabe P6/2004
| Eine Kugel und ein Zylinder werden miteinander verglichen: | |
| - | Die Kugel hat ein Volumen von 268 cm3, |
| - | der Radius der Kugel und der Grundkreisradius des Zylinders sind gleich lang, |
| - | Die Oberfläche der Kugel und die Mantelfläche des Zylinders sind gleich groß. |
| Berechnen Sie die Differenz die beiden Rauminhalte. | |
| Lösung: ΔV=134 cm3 | |
| |
Aufgabe P2/2007
| Die Skizze zeigt den Achsenschnitt eines Kegels. Es gilt: |
![]() |
|
| s=6,2 cm | ||
| γ=48 ° |
||
| Eine Kugel hat das gleiche Volumen wie der Kegel. Berechnen Sie den Radius der Kugel. | ||
| Lösung: rKugel=2,1 cm | ||
| |
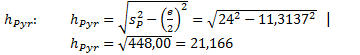
Aufgabe P3/2014
| Eine quadratische Pyramide wurde aus Wachs hergestellt. Es gilt: | ![]() |
|
| s=11,2 cm | ||
| γ=34 ° |
||
| Die Pyramide wird eingeschmolzen und zu einer Kugel umgeformt. Berechnen Sie den Radius der Kugel. |
||
| Lösung: rKugel=3,3 cm | ||
| |
Aufgabe P3/2015
Ein Kegel ist teilweise mit Wasser gefüllt. Dabei nimmt das Wasser die Hälfte des Kegelvolumens ein. Das Wasser soll vollständig in eine quadratische Pyramide gefüllt werden. Es gilt:
Berechnen Sie den Radius der Kugel. |
||||||||
| Lösung: Wasservolumen VW=1570,8 cm3 Pyramidenvolumen VP=1806,2 cm3 Somit läuft das Wasser beim Umfüllen nicht über. |
||||||||
| |
Aufgabe P3/2016
| Ein Kreiskegel und ein Zylinder haben gleich große Mantelflächen. Die Durchmesser der beiden Grundflächen sind ebenfalls gleich. Es gilt: |
![]() |
|
| MZyl=MKeg=340 cm2 | ||
| s=18,0 cm |
||
| Berechnen Sie die Differenz der beiden Rauminhalte. | ||
| Lösung: ΔV=379,4 cm3 | ||
| |
| Du befindest dich hier: |
| Kreiskegel Kugel Pflichtteilaufgaben Realschulabschluss |


- Geschrieben von Meinolf Müller Meinolf Müller
- Zuletzt aktualisiert: 06. Oktober 2019 06. Oktober 2019



















Ein Kegel ist teilweise mit Wasser gefüllt. Dabei nimmt das Wasser die Hälfte des Kegelvolumens ein. 












