![]() |
Kreiskegel Kugel Übungsaufgaben Realschulabschluss |
| Dokument mit 6 Aufgaben |
Aufgabe A1
| Der Umfang u der Grundfläche eines Kreiskegels ist 28,9 cm lang. Die Oberfläche O beträgt 222 cm2. Berechnen Sie das Volumen des Kreiskegels. |
| Lösung: V=217,2 cm3 |
| |
Aufgabe A2
| Ein Kreiskegel mit dem Volumen V=2658 cm3 ist 28,7 cm hoch. Berechnen Sie den Radius r der Kugel, deren Oberfläche genau so groß ist, wie die des Kegels. |
| Lösung: r=9,65 cm3 |
| |
Aufgabe A3
| Auf der Grundfläche eines Kreiskegels ist eine Halbkugel aufgesetzt worden. Es gilt:
|
||||
| Lösung: V=1760 cm3 |
| |
Aufgabe A4
| Die Grundfläche eines Kreiskegels ist 74,8 cm2 groß. Der Winkel ε beträgt 73,0 °. Berechnen Sie die Oberfläche des Zylinders, der denselben Radius und dieselbe Höhe wie der Kreiskegel besitzt. |
![]() |
|
| Lösung: OZyl=352 cm2 | ||
| |
Aufgabe A5
Von einem Kegel sind das Volumen und der Grundkreisradius bekannt.
|
||||
| Lösung: pZu%=126,8 % |
| |
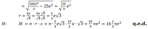
Aufgabe A6
| Gegeben sei ein Kreiskegel mit: | ![]() |
||
| Körperhöhe | h=5e | ||
| Winkel | α=60 ° |
||
| Zeigen Sie ohne Verwendung gerundeter Werte, dass für die Mantelfläche gilt: | |||
. |
|||
| |
| Du befindest dich hier: |
| Kreiskegel Kugel Übungsaufgaben Realschulabschluss |


- Geschrieben von Meinolf Müller Meinolf Müller
- Zuletzt aktualisiert: 06. Oktober 2019 06. Oktober 2019




















.





