![]() |
Kreiskegel Kugel Wahlteilaufgaben Realschulabschluss |
| Dokument mit 4 Aufgaben |
Aufgabe W3b/2005
| Ein Kreis wird in zwei Kreisausschnitte geteilt. Beide Ausschnitte bilden jeweils den Mantel eines Kegels (siehe Skizze). Für Kegel 1 gilt: |
![]() |
|
| V1=12πe3 | ||
| h1=4e |
||
| Zeigen Sie ohne Verwendung gerundeter Werte, dass für den Radus von Kegel 2 gilt: | ||
| r2=2e | ||
| |
Aufgabe W4b/2007
| Ein kegelförmiges Gefäß ist gegeben durch: | ![]() |
|
| h=8,0 cm | ||
| r=3,5 cm | ||
Es ist zu seiner Höhe mit Wasser gefüllt. Eine Kugel taucht vollständig in das Gefäß ein. Dadurch steigt der Wasserspiegel genau bis zum Rand des Gefäßes. Bestimmen Sie den Radius der Kugel. |
||
| Lösung: rKugel=2,0 cm | ||
| |
Aufgabe W2b/2008
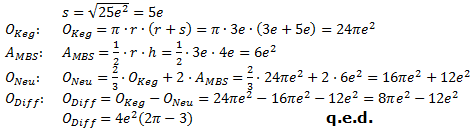
| Aus einem massiven Kegel wurde ein Teil ausgeschnitten. Es gilt: |
![]() |
|
| h=4e | ||
| r=3e | ||
| α=120 ° |
||
| Zeigen Sie ohne Verwendung gerundeter Werte, dass die Oberfläche des neu entstandenen Körpers um | ||
| 4e2(2π-3) | ||
| kleiner ist. | ||
| |
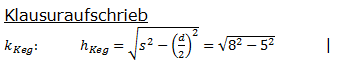
Aufgabe W2a/2010
| Ein zylinderförmiger Behälter hat eine kegelförmige Vertiefung. Er liegt waagrecht und ist zur Hälfte mit Wasser gefüllt. Die Maße sind: |
![]() |
|
| s=8,0 cm |
||
| d=10,0 cm |
||
| h=20,0 cm |
||
| Der Behälter wird senkrecht aufgestellt (siehe Skizze). Wie hoch steht das Wasser im aufgestellten Behälter? | ||
| Lösung: hW=11,0 cm | ||
| |
| Du befindest dich hier: |
| Kreiskegel Kugel Wahlteilaufgaben Realschulabschluss |


- Geschrieben von Meinolf Müller Meinolf Müller
- Zuletzt aktualisiert: 06. Oktober 2019 06. Oktober 2019












seiner Höhe mit Wasser gefüllt. 

















