![]() |
Pflichtteil 2008 Realschulabschluss |
Aufgabe P1/2008
| Gegeben ist das Rechteck ABCD und das gleichschenklige Dreieck AEF. Es gilt: |
![]() |
|
| φ=38,0 ° | ||
![]() |
||
![]() |
||
![]() |
||
| Berechnen Sie den Flächeninhalt des Dreiecks BEG. | ||
| Lösung: ABEG=5,1 cm2. | ||
| Tipp: Trigonometrischen Flächeninhalt für das Dreiecks BEG. | ||
| |
Aufgabe P2/2008
| Im Viereck ABCD sind bekannt: | ![]() |
|
![]() |
||
![]() |
||
| α=47 ° | ||
| γ=132 ° | ||
Berechnen Sie den Abstand des Punktes D von der Strecke . |
||
Berechnen Sie die Länge . |
||
Lösung: Abstand D von : 7,9 cm.Strecke . |
||
| |
Aufgabe P3/2008
| Von einer regelmäßigen fünfseitigen Pyramide sind gegeben: | ![]() |
|
| h=8,4 cm | ||
| s=10,2 cm | ||
| Berechnen Sie das Volumen der Pyramide. | ||
| Lösung: V=223,4 cm3 |
||
| |
Aufgabe P4/2008
| |
Aufgabe P5/2008
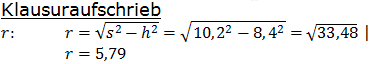
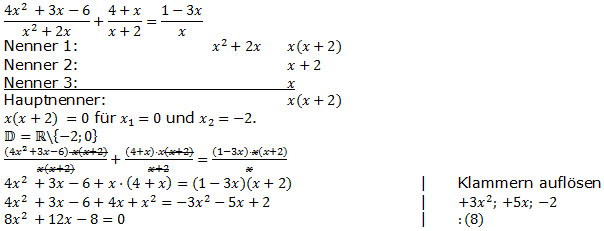
| Bestimmen Sie die Definitions- und Lösungsmenge der Gleichung: | |
![]() |
![]() |
| |
Aufgabe P7/2008
| Gabi legt bei ihrer Bank 2.500,00 € zu folgenden Zinssätzen auf drei Jahre an: | ||
| 1. Jahr 2. Jahr 3. Jahr |
3,50 % 3,75 % 4,25 % |
|
| Zinsen werden mitverzinst. Das angesparte Geld lässt sie nach Ablauf der drei Jahre ein weiteres Jahr bei der Bank. Für dieses vierte Jahr erhält sie 132,93 € Zinsen. Wie hoch ist der Zinssatz im vierten Jahr? |
||
| Lösung: 4,75 % |
||
| |
Aufgabe P8/2008
| In einem Behälter liegen fünf blaue, drei weiße und zwei rote Kugeln. Mona zieht eine Kugel, notiert die Farbe und legt die Kugel wieder zurück. Danach zieht sie eine zweite Kugel. Wie groß ist die Wahrscheinlichkeit, dass zwei gleichfarbige Kugeln gezogen werden? |
Lösung:![]() |
| Wie groß ist die Wahrscheinlichkeit, dass von den beiden gezogenen Kugeln eine rot und eine weiß ist? |
Lösung:![]() |
| |
| Du befindest dich hier: |
| Pflichtteil 2008 Realschulabschluss |


- Geschrieben von Meinolf Müller Meinolf Müller
- Zuletzt aktualisiert: 14. Oktober 2019 14. Oktober 2019













.
.
.


































