![]() |
Streckenzüge und Flächen Übungsaufgaben Realschulabschluss |
| Dokument mit 5 Aufgaben |
Aufgabe A1
| Auf der Oberfläche eines quadratischen Quaders verläuft der geschlossene Streckenzug ABCDEA. Seine Länge beträgt 79,2 cm. Für die Körperhöhe h gilt: |
![]() |
|
| h=23,4 cm | ||
| Berechnen Sie die Größe von Winkel δ. | ||
| Die Zeichnung zeigt die Netzabwicklung des Körpers mit einem Teil des Streckenzuges ABCDEA. Vervollständigen Sie den Streckenzug. |
![]() |
|
| |
Aufgabe A2
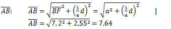
Gegeben ist ein Würfel mit der Kantenlänge a=7,2 cm. Durch seinen Körper und auf seiner Oberfläche verläuft der 19,5 cm lange Streckenzug ABCD. Alle vier Punkte liegen auf der Oberfläche des Würfels. Der Winkel α ist 68,3° groß.Berechnen Sie die Länge des mittleren Streckenabschnittes BC.
|
|
| |
Aufgabe A3
Die Zeichnung rechts zeigt die Lage eines Trapezes in einer quadratischen Pyramide. Der Flächeninhalt des Trapezes ist 59,2 cm2. Der Abstand von a1 zu a2 beträgt 8,4 cm. Winkel γ ist 48,9° groß.Die Seite a2 des Trapezes halbiert die Seitenkante s der Pyramide. Ermitteln Sie das Volumen der Pyramide.
|
|
| |
Aufgabe A4
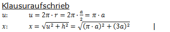
| Über den Mantel eines Zylinders verläuft eine Linie spiralförmig mit einer Volldrehung von der Grundkante zur Deckkante. Es gelten die Maße: |
![]() |
||
| h=3a | (Körperhöhe) | ||
![]() |
(Radius) | ||
| Zeigen Sie ohne Verwendung gerundeter Wert, dass für die Länge der Linie gilt: | |||
. |
|||
| Berechnen Sie den Winkel α. | |||
| Lösung: α=43,7° | |||
| |
Aufgabe A5
| Die Zeichnung zeigt die Netzabwicklung eines Quaders mit Teilen eines geschlossenen Streckenzuges. Im Körper selber läuft der Streckenzug von C zu D und von dort weiter zu E. Die Punkte C und E sind Mittelpunkte ihrer jeweiligen Seite; Punkt D halbiert die Kante, auf der er liegt. | ![]() |
|
| Zeigen Sie ohne Verwendung gerundeter Werte, dass für den Inhalt der vom Streckenzug eingeschlossenen Fläche gilt: | ||
. |
||
| |
| Du befindest dich hier: |
| Streckenzüge und Flächen Übungsaufgaben Realschulabschluss |


- Geschrieben von Meinolf Müller Meinolf Müller
- Zuletzt aktualisiert: 13. September 2024 13. September 2024











Gegeben ist ein Würfel mit der Kantenlänge a=7,2 cm. Durch seinen Körper und auf seiner Oberfläche verläuft der 19,5 cm lange Streckenzug ABCD. Alle vier Punkte liegen auf der Oberfläche des Würfels. Der Winkel α ist 68,3° groß.







Die Zeichnung rechts zeigt die Lage eines Trapezes in einer quadratischen Pyramide. Der Flächeninhalt des Trapezes ist 59,2 cm2. Der Abstand von a1 zu a2 beträgt 8,4 cm. Winkel γ ist 48,9° groß.







.





.






