![]() |
Zusammengesetzte Körper Pflichtteil 2003-2009 Realschulabschluss |
| Dokument mit 7 Aufgaben |
Aufgabe P1/2003
| Ein Körper besteht aus einer Halbkugel und einem aufgesetzten Kegel mit α=45° (siehe Achsenschnitt). Das Volumen der Halbkugel beträgt 204 cm3. Berechnen Sie die Oberfläche des Körpers. |
![]() |
|
| Lösung: O=227,0 cm2 | ||
| |
Aufgabe P6/2004
Eine Kugel und ein Zylinder werden miteinander verglichen.
|
| |
Aufgabe P2/2005
| Ein zusammengesetzter Körper besteht aus einem Zylinder mit aufgesetztem Kegel. Für den Körper gilt: |
![]() |
|
| VKe=115 cm3 (Volumen) | ||
| hKe=9 cm (Höhe) | ||
| Die Höhe des Zylinders ist gleich lang wie die Mantellinie des Kegels. Berechnen Sie die Oberfläche des zusammengesetzten Körpers. |
||
| Lösung: O=355,7 cm2 | ||
| |
Aufgabe P3/2006
| Ein zusammengesetzter Körper besteht aus einem Kegel und einer Halbkugel. Er hat die Oberfläche Oges=149 cm2. Das Volumen der Halbkugel beträgt VHK=97,7 cm3. Wie groß ist die Höhe des Kegels? |
![]() |
|
| Lösung: hK=4,8 cm | ||
| |
Aufgabe P4/2006
Für ein regelmäßiges fünfseitiges Prisma gilt:
|
| |
Aufgabe P4/2008
| |
Aufgabe P3/2009
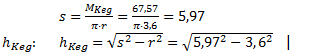
| Ein zusammengesetzter Körper besteht aus einem Zylinder und einem Kegel. Es gilt: |
![]() |
||
| VK=223 cm3 | (Volumen des Kegels) | ||
| hK=8,5 cm | (Höhe des Kegels) | ||
| OGes=344 cm2 | (Oberfläche des zusammengesetzten Körpers) | ||
| Berechnen Sie die Höhe des Zylinders. | |||
| Lösung: hZyl=3,5 cm | |||
| |
| Du befindest dich hier: |
| Zusammengesetzte Körper Pflichtteil 2003-2009 Realschulabschluss |


- Geschrieben von Meinolf Müller Meinolf Müller
- Zuletzt aktualisiert: 11. September 2024 11. September 2024









































