![]() |
Zusammengesetzte Körper Pflichtteil 2010-2020 Realschulabschluss |
| Dokument mit 7 Aufgaben |
Aufgabe P1/2010
| Ein zusammengesetzter Körper besteht aus einem Zylinder und aufgesetztem Kegel. Aus diesem Körper wird eine Halbkugel herausgearbeitet (siehe Achsenschnitt). Es gilt: |
![]() |
||
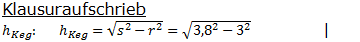
| r=3,0 cm | (Radius des Zylinders) | ||
| h=8,6 cm | (Höhe des Zylinders) | ||
| s=3,8 cm | (Mantellinie des Kegels) | ||
| Berechnen Sie das Volumen des Restkörpers. | |||
| Lösung: VRest=209 cm3 | |||
| |
Aufgabe P3/2010
| Das Schrägbild zeigt eine Pyramide in einem Würfel. Es gilt: |
![]() |
||
| a=8,0 cm | |||
| ε=58,0 ° | |||
| Wie groß ist das Volumen der Pyramide? Berechnen Sie die Länge . |
|||
Lösung: V=128 cm3![]() |
|||
| |
Aufgabe P3/2013
| Ein Zylinder und eine quadratische Pyramide haben gleich große Mantelflächen. Die Umfänge der beiden Grundflächen sind ebenfalls gleich. Es gilt: |
![]() |
||
| VZ=220 cm3 | (Volumen) | ||
| rZ=3,8 cm |
(Radius) | ||
| Berechnen Sie die Höhe der Pyramide. | |||
| Lösung: hPyr=9,2 cm | |||
| |
Aufgabe P3/2017
| Ein Körper setzt sich aus einem halben Zylinder und einer quadratischen Pyramide zusammen. Es gilt: |
![]() |
||
| hP=16 cm | |||
| ε=58 ° |
|||
| Berechnen Sie die Oberfläche des zusammengesetzten Körpers. | |||
| Lösung: OKörper=1697,3 cm2 | |||
| |
Aufgabe P3/2018
| Die Abbildung zeigt ein quadratisches Prisma und einen zusammengesetzten Körper. Der zusammengesetzte Körper besteht aus einem Kegel mit aufgesetztem Zylinder. Das quadratische Prisma ist vollständig mit Wasser gefüllt. |
![]() |
||
| Dieses Wasser wird in den zusammengesetzten Körper umgefüllt. Es gilt: |
|||
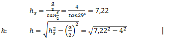
| a=10 cm | |||
| hPr=hges=25,0 cm | |||
| s=20 cm | |||
| d=17,8 cm | |||
| Wie hoch steht das Wasser im zusammengesetzten Körper? | |||
| Lösung: hW=22 cm | |||
| |
Aufgabe P3/2019
| Ein zusammengesetzter Körper besteht aus einem Würfel und zwei quadratischen Pyramiden. Die Pyramiden haben die gleiche Höhe. Es gilt: |
![]() |
||
| s=8,5 cm | |||
| ε=41,4 ° |
|||
| Berechnen Sie den Oberflächeninhalt des zusammengesetzten Körpers. Wie weit sind die Pyramiden-spitzen A und B voneinander entfernt? |
|||
Lösung: OKörper=334,8 cm2![]() |
|||
| |
Aufgabe P3/2020
| Ein Werkstück besteht aus einem Kegel und einem halben Zylinder. Berechnen Sie den Oberflächeninhalt des Werkstücks. (Maße in cm) |
![]() |
||
Lösung: OWerkstück=3679,4 cm2 |
|||
| |
| Du befindest dich hier: |
| Zusammengesetzte Körper Pflichtteil 2010-2020 Realschulabschluss |


- Geschrieben von Meinolf Müller Meinolf Müller
- Zuletzt aktualisiert: 11. September 2024 11. September 2024











.






































