![]() |
Zusammengesetzte Körper Übungsaufgaben Realschulabschluss |
| Dokument mit 6 Aufgaben |
Aufgabe A1
| Aus einem Zylinder wird konzentrisch zur Drehachse ein Kegel herausgearbeitet. Es gilt: |
![]() |
|
| VZylinder=326,6 cm3 | ||
| rZylinder=3,8 cm | ||
| Das Volumen des Kegels beträgt ein Achtel des Zylindervolumens. Die Höhe ist zwei Zentimeter kürzer als die des Zylinders. Berechnen Sie den Winkel ε. |
||
| Lösung: ε=152,2° | ||
| |
Aufgabe A2
| Aus einem Zylinder wird konzentrisch zur Drehachse ein Kegel herausgearbeitet. Es gilt: |
![]() |
|
| M=73,9 cm2 | ||
| h=4,2 cm | ||
| Die Größe der Mantelfläche des oberen Kegels entspricht fünf Achtel der Mantelfläche des Zylinders. Für den Winkel φ gilt: | ||
| φ=163,1° | ||
| Berechnen Sie das Volumen des Drehkörpers. Wie groß ist die Oberfläche eines Zylinders, für den gilt: |
||
| VZylinder=VDrehkörper | ||
| rZylinder=rDrehkörper | ||
| Lösung: V=216 cm3 OZyl=204 cm2 |
||
| |
Aufgabe A3
| Von einem regelmäßigen sechsseitigen Prisma sind bekannt: | ![]() |
|
| O=308,4 cm2 (Oberfläche) | ||
| a=2,2 cm (Grundkante) | ||
| Aus dem Prisma werden – wie abgebildet – zwei Teile ausgebohrt. Bohrachsen sind die senkrechten Kanten des Prismas. Die beiden Teile haben die Form von Zylinderausschnitten. Für den Radius der Bohrung gilt: |
||
![]() |
||
| Ermitteln Sie die prozentuale Veränderung des Volumens. Berechnen Sie die Mantelfläche des neuen Körpers. |
||
| Lösung: Prozentuale Abnahme des Volumens: p%=20,2% MNeu=220,2 cm2 |
||
| |
Aufgabe A4
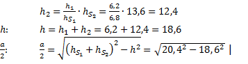
Eine quadratische Pyramide wird im Abstand von 6,2 cm parallel zur Grundfläche zerschnitten.Die Höhe hS2 auf der Seite der Restpyramide ist 13,6 cm lang. Sie ist damit doppelt so lang, wie die Höhe hS1 auf der Seite des entstandenen Pyramidenstumpfes. Berechnen Sie den Neigungswinkel α der Seitenkante s.
|
|
| |
Aufgabe A5
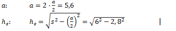
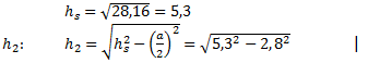
| Die Abbildung zeigt das Netz eines quadratischen Quaders mit ausgefräster Pyramide. Der Flächeninhalt des Netzes beträgt 230,5 cm2. | ![]() |
|
| ε=55,6° (Winkel) | ||
| s=6,0 cm (Seitenkante) | ||
| Berechnen Sie die Entfernung zwischen den Punkten S und M im Körper. | ||
Lösung: ![]() |
||
| |
Aufgabe A6
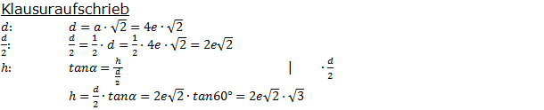
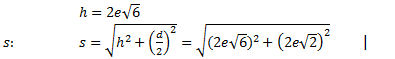
| Ein Körper besteht aus einem Würfel mit aufgesetzter Pyramide. Es gilt: |
![]() |
|
| a=4e (Würfelkante) | ||
| α=60° (Winkel) | ||
| Zeigen Sie ohne Verwendung gerundeter Werte, dass für die Oberfläche des Körpers gilt: | ||
![]() |
||
| |
| Du befindest dich hier: |
| Zusammengesetzte Körper Übungsaufgaben Realschulabschluss |


- Geschrieben von Meinolf Müller Meinolf Müller
- Zuletzt aktualisiert: 11. September 2024 11. September 2024

























Eine quadratische Pyramide wird im Abstand von 6,2 cm parallel zur Grundfläche zerschnitten.



























