![]() |
Wahlteil 2022 Realschulabschluss |
Wahlteil 2022 - Aufgabe 1
Aufgabe B1a/2022
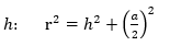
| Im Quadrat ABCD liegen die beiden gleichschenkligen Dreiecke ABF und DEF Es gilt: |
![]() |
|
![]() |
||
![]() |
||
![]() |
||
![]() |
||
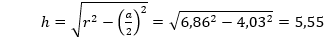
| • | Berechnen Sie den Flächeninhalt des Dreiecks AFE. | |
| • | Berechnen Sie den Winkel ϵ. | |
Lösungen: ; ϵ=23 ° |
||
| |
Aufgabe B1b/2022
| Die Gerade g hat die Funktionsgleichung y=x+2. Die Parabel p1 hat die Funktionsgleichung y=-x2+8. Die Parabel p1 schneidet die Gerade g in den Punkten P und Q. |
|
| • | Berechnen Sie die Koordinaten der Punke P und Q. |
| Durch die beiden Schnittpunkte P und Q verläuft die verschobene, nach oben geöffnete Normalparabel p2. | |
| • | Berechnen Sie Koordinaten des Scheitelpunktes S2 von p2. |
| Robin behauptet: Das Dreieck mit den Punkten P, Q und S0 ist rechtwinklig. | |
| • | Hat Robin Recht? Begründen Sie Ihre Antwort rechnerisch. |
| Lösungen: P(-3|-1); Q(2|4) S2(2|-5) Robin hat nicht Recht |
|
| |
Wahlteil 2022 - Aufgabe 2
Aufgabe B2a/2022
| Das Schaubild zeigt Ausschnitte der verschobenen Normalparabel p1 und der nach unten geöffneten Parabel p2. | ![]() |
|
| • | Bestimmen Sie die Funktionsgleichungen der beiden Parabeln. Entnehmen Sie dazu geeignete Werte aus dem Schaubild. |
|
| Die Gerade g verläuft durch die beiden Scheitelpunkt S1 und S2. | ||
| • | Berechnen Sie die Funktionsgleichung von g. | |
| Die Gerade h verläuft senkrecht zu g und geht durch den Punkt R(4|5). | ||
| • | Berechnen Sie die Funktionsgleichung von h. | |
| • | Geben Sie die Funktionsgleichung einer weiteren nach oben geöffneten Normalparabel p3 an, die keine gemeinsamen Punkte mit p1 und p2 hat. | |
| Lösungen: p1: y=x2-2x-3; p2: y=-0,25x2+6 g: y=-10x+6; h: ![]() S3 (1│7); p2: y=(x-1)2+7 |
||
| |
Aufgabe B2b/2022
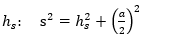
| Ein zusammengesetzter Körper besteht aus einem regelmäßigen Fünfeckprisma mit aufgesetzter regelmäßiger fünfseitiger Pyramide. Es gilt: |
![]() |
||
| s=12,6 cm | |||
![]() |
|||
| h2=5,6 cm (Höhe Prisma) |
|||
| Berechnen Sie den Oberflächeninhalt des zusammengesetzten Körpers. | |||
| Lösung: OKörper=578,33 cm2 | |||
| |
Wahlteil 2022 - Aufgabe 3
Aufgabe B3a/2022
| In einem Gefäß liegen acht Kugeln, die rot, blau und gelb gefärbt sind. Es werden zwei Kugeln ohne Zurücklegen gezogen. | ![]() |
|
| • | Wie groß ist die Wahrscheinlichkeit, zwei gleichfarbige Kugeln zu ziehen | |
| Die Kugeln werden für ein Gewinnspiel eingesetzt. Dazu wird nebenstehender Gewinnplan geprüft | ||
| • | Berechnen Sie den Erwartungswert. | |
| Der Veranstalter des Gewinnspiels möchte seinen Gewinn pro Spiel auf lange Sicht gesehen verdoppeln. | ||
| • | Wie hoch müsste dann der Gewinn für „eine gelbe und eine blaue Kugel“ sein, wenn alles andere unverändert bleibt? | |
| Lösungen: P(zwei gleichfarbene Kugeln)=0,321 E(X) = -0,14 € (aus der Sicht des Spielers) Gewinnänderung auf 8,72 €. |
||
| |
Aufgabe B3b/2022
| Das Foto zeigt ein „Tiny House“. Die Vorderseite des Hauses ist nahezu parabelförmig. Die maximale Höhe des Hauses beträgt 3,00 m. Am Boden ist es 2,70 m breit. |
![]() |
|
| • | Berechnen Sie eine mögliche Funktionsgleichung für die parabelförmige Außenkontur des Hauses. | |
| Die 2,00 m hohe Eingangstür befindet sich mittig auf der Vorderseite des Hauses. | ||
| Am oberen Ende der Eingangstür befindet sich ein Vordach, das von Außenkante zu Außenkante reicht. | ||
| • | Berechnen Sie die Länge des Vordachs. | |
| In 1 m Höhe hat der Türrahmen eine waagrechte Entfernung von 0,70 m zu den Seitenkanten. | ||
| • | Berechnen Sie den Flächeninhalt der Tür. | |
| Lösungen: Parabel: y=-1,64x2+3 Länge Vordach: 1,56 m Fläche Tür: 1,6 m2 |
||
| |
Wahlteil 2022 - Aufgabe 4
Aufgabe B4a/2022
| Die Parabel p1 hat die Funktionsgleichung y=x2-8x+12. Die verschobene nach oben geöffnete Normalparabel p2 hat den Scheitelpunkt S2 (1|-7). |
|
| • | Berechnen Sie die Koordinaten des Schnittpunktes Q1 der beiden Parabeln p1 und p2. |
| Die Parabel p1 schneidet die x-Achse in den Punkten N1 und N2. | |
| • | Berechnen Sie die Koordinaten von N1 und N2. |
| Die Punkte N1, N2 und Q1 bilden ein Dreieck. | |
| • | Berechnen Sie den Flächeninhalt des Dreiecks N1Q1N2. |
| Der Punkt Q1 bewegt sich auf der Parabel p2 unterhalb der x-Achse. Dadurch entsteht der Punkt Q2 und somit das Dreieck N1Q2N2. | |
| • | Für welche Lage von Q2 wird der Flächeninhalt des Dreiecks am größten? |
| • | Berechnen Sie diesen maximalen Flächeninhalt. |
Lösungen: Q1(3|-3); N1(2|0); N2(6|0)![]() Q2(1│-7); ![]() |
|
| |
Aufgabe B4b/2022
Das regelmäßige Sechseck und das gleichschenklige Dreieck haben die Seite gemeinsam.Es gilt: |
![]() |
|
![]() |
||
| • | Berechnen Sie den Umfang des Dreiecks ABC. | |
| Tom behauptet: „Der Flächeninhalt des Sechsecks ist dreimal so groß wie der Flächeninhalt des Dreiecks ABC". | ||
| • | Hat Tom Recht? | |
| Begründen Sie Ihre Antwort durch Rechnung oder durch eine Argumentation. | ||
| Lösungen: uABC=57,1 cm Toms Behauptung ist richtig. |
||
| |
| Du befindest dich hier: |
| Wahlteil 2022 Realschulabschluss |


- Geschrieben von Meinolf Müller Meinolf Müller
- Zuletzt aktualisiert: 27. Dezember 2025 27. Dezember 2025







; ϵ=23 °

































gemeinsam.





