![]() |
Abitur-Musteraufgaben Pflichtteil Analysis ab 2019 |
| Dokument mit 13 Aufgaben |
Aufgabe M01
| Bestimmen Sie die Extrempunkte der Funktion f mit f(x)=e2x+e-x. |
| |
Aufgabe M02
| Bestimmen Sie den Wendepunkt der Funktion f mit f(x)=(x-1)∙ex. |
| |
Aufgabe M03
| Gegeben ist die Funktion f mit f(x)=2e-x. | |
| a) | Bestimmen Sie die Gleichung der Normalen von f im Punkt P(-1|2e). |
| b) | Bestimmen Sie den Schnittpunkt der Normalen mit der x-Achse. |
| |
Aufgabe M04
Die Funktion f hat das nebenstehende Schaubild und die Funktionsgleichung .
|
|||||
| |
Gegeben sind die Funktionen f und g mit und . |
|
| a) | Geben Sie die waagrechte Asymptote der Funktion f an. |
| b) | Bestimmen Sie die Stelle, an der f und g die gleiche Steigung haben. |
| |
| Gegeben ist die Funktion f mit f(x)=e-x-1+1. | |
| a) | Skizzieren Sie das Schaubild von f. |
| b) | Berechnen Sie die Gleichung der Tangenten an den Graphen von f an der Stelle x0=-1 und zeichnen Sie die Tangente ein. |
| |
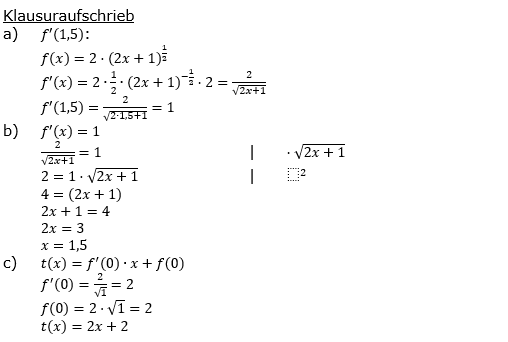
Gegeben ist die Funktion f mit . |
|
| a) | Berechnen Sie die Steigung von f an der Stelle x0=1,5. |
| b) | Berechnen Sie die Stelle, an der die Funktion f die Steigung m=1 hat. |
| c) | Bestimmen Sie die Gleichung der Tangenten an der Stelle x0=0. |
| |
| Gegeben ist die Funktion f mit f(x)=-sin(x)+1. | |
| a) | Skizzieren Sie das Schaubild von f für 0 ≤ x ≤ 2π. |
| b) | Bestimmen Sie die Steigung von f an der Stelle x0=π. |
| c) | Bestimmen Sie c so, dass der Ursprung auf dem Schaubild von g(x)=f(x+c) liegt. |
| |
Gegeben ist die Funktion f durch . |
|
| a) | Bestimmen Sie die Nullstellen von f und skizzieren Sie den Funktionsgraphen. |
| b) | Vom Graphen und der x-Achse wird ein Flächenstück begrenzt. Berechnen Sie den Flächeninhalt dieser Fläche. |
| |
| Berechnen Sie den Inhalt der Fläche, die vom Graphen der Funktion f mit f(x)=(x-4)2, der Tangente t0 im Punkt P(0│f(0)) und der x-Achse eingeschlossen wird. |
| |
Gegeben ist die Funktion f durch . |
|
| a) | Skizzieren Sie den Funktionsgraphen. |
| b) | Bestimmen Sie die Koordinaten des Punktes, in dem die Tangente an den Graphen parallel zur Geraden mit der Gleichung y=2x-3 ist. |
| |
| Gegeben ist die Funktion f mit f(x)=(x+2)∙e-x. | |
| a) | Berechnen Sie die Koordinaten des Hochpunktes des Graphen von f. |
| b) | Der Funktionsgraph hat im Punkt P(1|f(1)) die Normale n. Ermitteln Sie eine Gleichung von n. |
| |
| Die Abbildung zeigt den Graphen einer Stammfunktion F einer Funktion f. Entscheiden Sie, ob folgende Aussagen wahr oder falsch sind. Begründen Sie jeweils Ihre Entscheidung. |
![]() |
|
| (I) | f(1)=F(1). | |
| (II) | f' besitzt im Bereich -1≤x≤1 eine Nullstelle. | |
| (III) | f(F(-2))>0 | |
| |
| Du befindest dich hier: |
| Abitur-Musteraufgaben Pflichtteil Analysis ab 2019 |


- Geschrieben von Meinolf Müller Meinolf Müller
- Zuletzt aktualisiert: 17. Juli 2021 17. Juli 2021





Die Funktion f hat das nebenstehende Schaubild und die Funktionsgleichung
.
und
.

.

.


.




