![]() |
Abituraufgaben allg. bildendes Gymnasium Pflichtteil Analysis
|
Aufgaben der Prüfungsjahre ab 2019 BW |
| Dokument mit 3 Aufgaben |
Aufgabe A3/2019
Gegeben ist die Funktion f mit , die die Nullstellen x1=-1 und x2=1 hat. |
|||||||||||||||||||||||||||||||
| Die Abbildung zeigt den Graphen von f, der symmetrisch bezüglich der y-Achse ist. Weiterhin ist die Gerade g mit der Gleichung y=-3 gegeben. | ![]() |
||||||||||||||||||||||||||||||
| a) | Zeigen Sie, dass einer der Punkte, in denen g den Graphen von f schneidet, die x-Koordinate hat. |
||||||||||||||||||||||||||||||
| b) | Bestimmen Sie rechnerisch den Inhalt der Fläche, die der Graph von f, die x-Achse und die Gerade g einschließen. | ||||||||||||||||||||||||||||||
| |
Aufgabe A3/2019N
| Der Graph einer ganzrationalen Funktion f dritten Grades hat im Ursprung einen Hochpunkt und den Wendepunkt W(1|-2). Bestimmen Sie einen Funktionsterm von f. |
| |
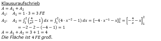
Aufgabe A4/2020
Der Graph der Funktion f mit schneidet die Gerade mit der Gleichung y=4 im Punkt P(1|4) und die Gerade mit der Gleichung y=1 im Punkt Q(2|1).Berechnen Sie den Inhalt der markierten Fläche. |
| |
| Du befindest dich hier: |
| Abituraufgaben allg. bildendes Gymnasium Pflichtteil Analysis |
| ab 2019 |


- Geschrieben von Meinolf Müller Meinolf Müller
- Zuletzt aktualisiert: 02. August 2020 02. August 2020


, die die Nullstellen x1=-1 und x2=1 hat.
hat.





Der Graph der Funktion f mit
schneidet die Gerade mit der Gleichung y=4 im Punkt P(1|4) und die Gerade mit der Gleichung y=1 im Punkt Q(2|1).




