×

Fit in Mathe Online | Das Online-Portal für Mathematik
Original Mathe Aufgaben Abitur des allgemeinbildenden Gymnasiums 'Analytische Geometrie'/© by www.fit-in-mathe-online.de

2019 Analytische Geometrie Wahlteil Abitur allg. Gymnasium Nachtermin

Aufgaben des Nachtermins Prüfungsjahr 2019 BW

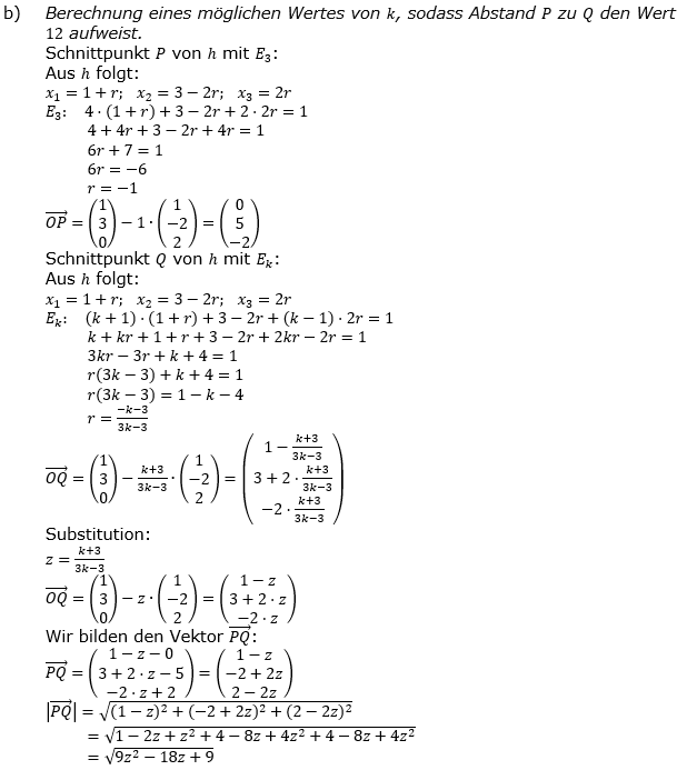
Dokument mit 7 Aufgaben
Du befindest dich hier:
2019 Analytische Geometrie Wahlteil Abitur allg. Gymnasium Nachtermin
PDF-Druck AufgabenPDF-Druck LösungenPDF-Druck Aufgaben und Lösungen
Inhalte erstellt
mithilfe von
Joomla CMS Logo
Joomla! CMS ist freie unter der GNU/GPL-Lizenz veröffentlichte Software und wird verwaltet von einer erstaunlichen Gemeinschaft.
Software-Support
Mit freundlicher Unterstützung
Logo von Safistudio PL
Safi Studio wurde im Jahre 2008 gegründet. Wir erstellen Projekte von höchster Qualität, basierend auf den aktuellsten Web Technologien, innovativ und einzigartig. Über die Jahre haben wir eine große Anzahl Projekte erstellt, die sich erfolgreich im Web platziert haben.
Mathe Grafiken
mithilfe von
GeoGebra Logo
Die Mathe App für Geometrie, Algebra, Funktionen, Statistik und 3D. Dynamische Mathematik für Lernen und Unterricht.
Qualifizierte Nachhilfe
mit
Dr.-Ing. Meinolf Müller
Meine 16-jährige Erfahrung in Nachhilfe in den Fächern Mathematik, Physik, Statistik, Statik und BWL sichert kompetente Beratung und soliden Wissenstransfer der schulischen bzw. universitären Erfordernisse.
Holen Sie sich einen Termin bei meinolf.mueller@fit-in-mathe-online.de
Anmelden
x
x
Registrieren
x

x