![]() |
Pflichtteil 2003 Realschulabschluss |
Aufgabe P1/2003
| Ein Körper besteht aus einer Halbkugel und einem aufgesetzten Kegel mit α=45° (siehe Achsenschnitt). Das Volumen der Halbkugel beträgt 204 cm3. Berechnen Sie die Oberfläche des Körpers. |
![]() |
|
| Lösung: O=227,0 cm2 | ||
| |
Aufgabe P2/2003
| Ein quadratisches Prisma und eine quadratische Pyramide haben gleich große Grundflächen. Das Prisma hat eine Höhe h=5,0 cm und die Grundkante a=3,0 cm. Das Volumen der Pyramide ist halb so groß wie das Volumen des Prismas. Berechnen Sie die Höhe der Pyramide.
|
| |
Aufgabe P3/2003
| Im rechtwinkligen Dreieck ABC sind gegeben: | ![]() |
|
![]() |
||
![]() |
||
| γ2=18,1° | ||
| Berechnen Sie den Flächeninhalt des Dreiecks ADC. | ||
| Lösung: AADC=4,4 cm2. | ||
| Tipp: Trigonometrischer Flächeninhalt für das Dreieck ADC. | ||
| |
Aufgabe P4/2003
| In der Figur ABCDE sind gegeben: | ![]() |
|
![]() |
||
![]() |
||
![]() |
||
| γ=37,0 ° | ||
Berechnen Sie die Länge . |
||
Lösung: . |
||
| |
Aufgabe P5/2003
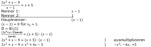
| Bestimmen Sie die Definitions- und Lösungsmenge der Gleichung: | |
![]() |
![]() |
| |
Aufgabe P6/2003
| Eine nach oben geöffnete Normalparabel hat den Scheitelpunkt S(2|-3). Die Gerade g hat die Steigung m=1 und schneidet die Parabel in P(4|1). Berechnen Sie die Koordinaten des zweiten Schnittpunkts von Parabel und Gerade. |
| Lösung: Q(1|-2) |
| |
Aufgabe P7/2003
| Karl-Anton legt am Anfang eines Jahres einen bestimmten Geldbetrag bei der Bank an. Der jährlich gleichbleibende Zinssatz beträgt 3,5 %. Zinsen werden mitverzinst. Nach Ablauf des ersten Jahres hebt er 700,00 € ab, nach Ablauf des zweiten Jahres 500,00 €. Am Ende des dritten Jahres beträgt sein Sparguthaben 3.721,87 €. Berechnen Sie den ursprünglich angelegten Betrag. |
| Lösung: 4.500,00 € |
| |
Aufgabe P8/2003
| Das Diagramm zeigt die Aufteilung des Wasserverbrauchs eines Vier-Personen-Haushalts in den Jahren 1992 und 2002. |
![]() |
| Um wie viel Prozent liegt der Wasserverbrauch 2002 unter dem von 1992? Wie viel m3 Wasser wurden im Jahr 2002 für die Toilettenspülung weniger verbraucht als 1992? Wie viel Liter Wasser wurden in dem Haushalt im Jahr 2002 für das Geschirrspülen pro Tag durchschnittlich verbraucht? |
| Lösung: Wasserverbrauch 2002 zu 1992: -13,1 % |
| Minderverbrauch Toilettenspülung ≈20 m3 |
| Täglicher Verbrauch Geschirrspüler 0,03 m3 |
| |
| Du befindest dich hier: |
| Pflichtteil 2003 Realschulabschluss |


- Geschrieben von Meinolf Müller Meinolf Müller
- Zuletzt aktualisiert: 14. Oktober 2019 14. Oktober 2019




















.
.















