![]() |
Pflichtteil 2015 Realschulabschluss |
Aufgabe P1/2015
| Im Dreieck ABC gilt: | ![]() |
|
![]() |
||
| α=64 ° | ||
| β=40 ° | ||
| Berechnen Sie den Umfang des Dreiecks EBC. | ||
Tipp: Dreimal Sinussatz für und . |
||
| Lösung: uEBC=27,9 cm | ||
| |
Aufgabe P2/2015
| Das Viereck ABCD ist ein Quadrat. Es gilt: |
![]() |
|
![]() |
||
| α1=34 ° | ||
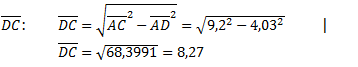
Berechnen Sie die Länge von . |
||
Lösung: ![]() |
||
| |
Aufgabe P3/2015
Ein Kegel ist teilweise mit Wasser gefüllt. Dabei nimmt das Wasser die Hälfte des Kegelvolumens ein. Das Wasser soll vollständig in eine quadratische Pyramide gefüllt werden. Es gilt:
Berechnen Sie den Radius der Kugel. |
||||||||
| Lösung: Wasservolumen VW=1570,8 cm3 Pyramidenvolumen VP=1806,2 cm3 Somit läuft das Wasser beim Umfüllen nicht über. |
||||||||
| |
Aufgabe P4/2015
In einem Behälter liegen 20 Kugeln. Sie sind rot, blau und grün gefärbt. Es werden zwei Kugeln gleichzeitig gezogen.![]() |
|
| • | Im Baumdiagramm fehlt eine Wahrscheinlichkeitsangabe. Ergänzen Sie diese. |
| • | Wie groß ist die Wahrscheinlichkeit, höchstens eine grüne Kugel zu ziehen? |
Lösung: P(höchstens eine grüne Kugel)=1-P(zwei grüne Kugeln) ![]() |
|
| • | In einem anderen Behälter liegen von jeder Farbe doppelt so viele Kugeln, also insgesamt 40 Kugeln. Es werden ebenfalls zwei Kugeln gleichzeitig gezogen. Uli sagt „Die Wahrscheinlichkeit, höchstens eine grüne Kugel zu ziehen, ist gleich.“ Hat Uli Recht? Begründen Sie durch Rechnung. |
Lösung: Uli hat nicht Recht. ![]() |
|
| |
Aufgabe P5/2015
| Das Schaubild zeigt die Ausschnitte von vier Parabeln. | ||||||||||||
| • | Welcher Graph gehört zur angegebenen Wertetabelle? Begründen Sie Ihre Entscheidung. |
|
||||||||||
![]() |
||||||||||||
| • | Berechnen Sie die Koordinaten des Schnittpunktes Q der beiden verschobenen Normalparabeln p1 und p2. | |||||||||||
| • | Wie heißt die Gleichung der Parabel p4? | |||||||||||
| Entnehmen Sie dazu erforderliche Werte dem Schaubild. | ||||||||||||
| |
Aufgabe P7/2015
| Das Diagramm zeigt den Wert der Aktie „Motelo“ jeweils am Jahresende. | |
![]() |
|
| • | Um wie viel Prozent ist der Wert der Aktie von 2010 bis 2013 insgesamt gestiegen? |
| • | Am Ende des Jahres 2014 lag der Wert der Aktie 15,4 % über dem Wert am Ende des Jahres 2013. Zeichnen Sie im Diagramm den Jahresendwert von 2014 ein. |
| • | Welchen jährlich gleichbleibenden Zinssatz hätte eine Bank bieten müssen, um von 2009 bis 2013 den gleichen Wertzuwachs zu erzielen? |
| Lösung : Anstieg von 2010 bis 2013 um 62,6 %. Jahresendwert von 2014: 60,01 € Gleichbleibender Zinssatz: 7,0 % |
|
| |
Aufgabe P8/2015
| Die Klasse 10a und 10b machen einen gemeinsamen Ausflug und spielen Minigolf. Beim Minigolf zählt jeder Schlag als Punkt. Hat der Ball nach sechs Punkten sein Ziel nicht erreicht, ist ein Zusatzpunkt anzurechnen. Die Höchstanzahl an einer Bahn beträgt also sieben Punkte. Die Diagramme und die Boxplots zeigen die Ergebnisse der beiden Klassen nach der ersten Bahn. |
|
![]() ![]() |
|
|
![]() |
| Lösung: Boxplot (1) gehört zur Klasse 10a. | |
| Boxplot (2) gehört zur Klasse 10b. | |
| Der Prozentsatz der Klasse 10a ist 37,9 %. | |
| Durchschnittliche Punktzahl ist 3,76. Die Aussage ist falsch. | |
| |
| Du befindest dich hier: |
| Pflichtteil 2015 Realschulabschluss |


- Geschrieben von Meinolf Müller Meinolf Müller
- Zuletzt aktualisiert: 14. Oktober 2019 14. Oktober 2019




und
.


















.






Ein Kegel ist teilweise mit Wasser gefüllt. Dabei nimmt das Wasser die Hälfte des Kegelvolumens ein. 
























