![]() |
Pflichtteil 2016 Realschulabschluss |
Aufgabe P1/2016
| Gegeben ist das Dreieck ABC. Es gilt: |
![]() |
|
![]() |
||
![]() |
||
| β=55 ° | ||
| δ1=69,4 ° | ||
Berechnen Sie die Länge von und den Flächeninhalt des Dreiecks ADC. |
||
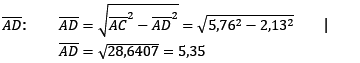
Lösung: ![]() AADC=16,4 cm2 |
||
| |
Aufgabe P2/2016
| Im rechtwinkligen Trapez ABCD sind gegeben: | ![]() |
|
![]() |
||
![]() |
||
![]() |
||
| Berechnen Sie den Umfang des Dreiecks ACD. | ||
| Lösung: uACD=13,2 cm | ||
| |
Aufgabe P3/2016
| Ein Kreiskegel und ein Zylinder haben gleich große Mantelflächen. Die Durchmesser der beiden Grundflächen sind ebenfalls gleich. Es gilt: |
![]() |
|
| MZyl=MKeg=340 cm2 | ||
| s=18,0 cm |
||
| Berechnen Sie die Differenz der beiden Rauminhalte. | ||
| Lösung: ΔV=379,4 cm3 | ||
| |
Aufgabe P4/2016
| |
| Bei einer Umfrage werden Frauen und Männer getrennt befragt: „Wie viele € haben Sie für Ihre zuletzt gekauften Schuhe bezahlt?“ |
|||||||||||||||||||||||||||||||||||||||||||||
Preise der Frauenschuhe in € gerundet:
Zum Boxplot der Männerschuhe gehört die unvollständig ausgefüllte Rangliste. Ergänzen Sie die passenden Werte.Preise der Männerschuhe in € gerundet:
|
Aufgabe P5/2016
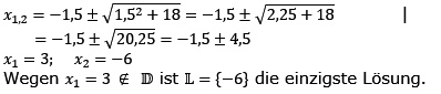
| Geben Sie die Definitionsmenge und Lösungsmenge der Gleichung an. | |
![]() |
![]() |
| |
Aufgabe P6/2016
| Die Parabel p hat die Gleichung y=x2-6x+10,5. Eine Gerade g mit der Steigung m=2 geht durch den Scheitelpunkt der Parabel p. Berechnen Sie den zweiten Schnittpunkt Q der Geraden g und der Parabel p. |
| Lösung: Q(5|5,5) |
| |
Aufgabe P7/2016
| Hannah legt Buchstabenkärtchen. Auf dem Tisch liegen schon folgende vier Buchstaben: ![]() |
|||||||||||
In einem Beutel befinden sich die rechts abgebildeten Buchstabenkärtchen.Daraus zieht Hannah zwei Buchstabenkärtchen gleichzeitig. Wie groß ist die Wahrscheinlichkeit, mit den beiden gezogenen Buchstaben
|
|||||||||||
Lösung: PSCHALL=![]() PSCHATZ= ![]() |
|||||||||||
| |
Aufgabe P8/2016
| In der abgebildeten Weltkarte sind die Bevölkerungszahlen der Kontinente für das Jahr 2014 und die voraussichtlichen Werte für das Jahr 2050 dargestellt. | ||
![]() |
||
| Um wie viel Prozent wird die Bevölkerungszahl von Europa im Zeitraum von 2014 bis 2050 voraussichtlich sinken? In Afrika steigt die Bevölkerungszahl. In den Jahren von 2014 bis 2017 nimmt sie jährlich um etwa 2,5 % zu. Wie hoch ist die zu erwartende Bevölkerungszahl in Afrika im Jahre 2017? |
||
|
||
| Stimmt diese Aussage? Begründen Sie Ihre Antwort. | ||
| Lösung: Europa ≈-2 % | ||
| Afrika: ≈1223,3 Mio. | ||
| Afrika: ≈25 % der Weltbevölkerung | ||
| Die Aussage ist richtig. |
| |
| Du befindest dich hier: |
| Pflichtteil 2016 Realschulabschluss |


- Geschrieben von Meinolf Müller Meinolf Müller
- Zuletzt aktualisiert: 14. Oktober 2019 14. Oktober 2019





und den Flächeninhalt des Dreiecks ADC.























Zum Boxplot der Männerschuhe gehört die unvollständig ausgefüllte Rangliste. 










In einem Beutel befinden sich die rechts abgebildeten Buchstabenkärtchen.








