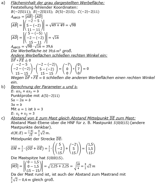
Auf einem ebenen, horizontalen Gelände steht ein 15 m hoher Mast, an dem drei rechteckige Werbeflächen befestigt sind. In der seitlichen Abbildung ist eine der Werbeflächen grau dargestellt. Der Mast ist zylinderförmig und hat einen Durchmesser von 80 cm; er verläuft ebenso wie die seitlichen Kanten der Werbefläche vertikal. In einem Koordinatensystem wird das Gelände durch die x1x2-Ebene beschrieben; eine Längeneinheit im Koordinatensystem entspricht 1 m in der Wirklichkeit. Der Mittelpunkt der Grundfläche des Masts wird durch den Koordinatenursprung dargestellt. Die Punkte A(5|-2|11), E(-2|5|15) und F(-2|-2|15) stellen Eckpunkte der Werbeflächen dar. |
| a) |
Bestimmen Sie den Flächeninhalt der grau dargestellten Werbefläche. Prüfen Sie, ob die beiden anderen Werbeflächen einen rechten Winkel einschließen. |
| b) |
Die grau dargestellte Werbefläche liegt im Modell in einer Ebene, deren Gleichung in der Form ax1+ax2=b dargestellt werden kann. Ermitteln Sie passende Werte von a und b. |
| c) |
Begründen Sie, dass der Abstand der grau dargestellten Werbefläche zum Mast mit dem Abstand des Mittelpunkts der oberen Kante dieser Werbefläche zum Mast übereinstimmt. |
Auf dem Gelände befindet sich ein Sportplatz. Von dort aus blickt ein Kind zur grau dargestellten Werbefläche. Die Sicht des Kindes wird durch eine Mauer eingeschränkt. Die obere Kante der Mauer wird im Modell durch die Strecke zwischen den Punkten P(20|-5|3) und Q(20|25|3) dargestellt. Der Punkt, von dem der Blick des Kindes ausgeht, wird durch K(24|15|1) beschrieben. Das Kind kann denjenigen Teil der Werbefläche, der durch das Dreieck GBH mit G(4|-1|11) dargestellt wird, nicht sehen. |
| d) |
Eine Sichtlinie verläuft im Modell von K zu G. Berechnen Sie die Größe des Winkels dieser Sichtlinie gegenüber der Horizontalen. Beschreiben Sie, wie man die Koordinaten von H rechnerisch bestimmen könnte. |
| e) |
Auf dem Sportplatz wird ein Fußball geschossen. Die Flugbahn des Balls wird im Modell durch Punkte der Form Rt (32-8t|5|-5t2+6,5t+0,3) mit beschrieben. Der Ball bewegt sich im Modell in der Ebene L. Beschreiben Sie die besondere Lage von L im Koordinatensystem und geben Sie eine Gleichung dieser Ebene an. Untersuchen Sie, ob der Ball die Mauer trifft, bevor er den Boden berührt. |