![]() |
Quadratische Pyramiden Übungsaufgaben Realschulabschluss |
| Dokument mit 6 Aufgaben |
Aufgabe A1
Eine quadratische Pyramide hat die Maße:
|
||||
| Berechnen Sie das Volumen der Pyramide. Berechnen Sie den Neigungswinkel α der Seitenkante mit der Grundfläche. Das Volumen eines Würfels ist doppelt so groß wie das der Pyramide. Berechnen Sie die Oberfläche des Würfels. |
| |
Aufgabe A2
Gegeben sei eine quadratische Pyramide mit
|
||||||
| Zeichnen Sie das Schrägbild der Pyramide maßgerecht mit Zerrwinkel α=45° und Streckfaktor k=0,5. |
| |
Aufgabe A3
Die Grundfläche einer quadratischen Pyramide ist 86,4 cm² groß. Der Winkel α beträgt 61,5°.Berechnen Sie die Oberfläche O. Die Pyramide wird diagonal in zwei kongruente Pyramiden aufgeteilt. Ermitteln Sie die Oberfläche der neuen Körper.
|
|
| |
Aufgabe A4
| Gegeben sei eine quadratische Pyramide mit | ![]() |
|
| Oberfläche O=754,1 cm² | ||
| Grundkante a=14,7 cm | ||
| Berechnen Sie die Seitenkante s der Pyramide und den Winkel ε. | ||
| |
Aufgabe A5
Von einer quadratischen Pyramide kennen wir:
|
||||
| Zeichnen Sie das Netz der Pyramide im Maßstab 1:2. |
| |
Aufgabe A6
| Gegeben sei eine quadratische Pyramide mit | ![]() |
|
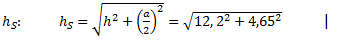
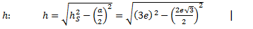
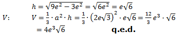
| hS=3e | ||
| α=60 ° |
||
| Zeigen Sie ohne Verwendung gerundeter Werte, dass für die Pyramide gilt: | ||
![]() |
||
| |
| Du befindest dich hier: |
| Quadratische Pyramiden Übungsaufgaben Realschulabschluss |


- Geschrieben von Meinolf Müller Meinolf Müller
- Zuletzt aktualisiert: 23. August 2021 23. August 2021












Die Grundfläche einer quadratischen Pyramide ist 86,4 cm² groß. Der Winkel α beträgt 61,5°.




























