![]() |
Wahlteil 2015 Realschulabschluss |
Wahlteil - Aufgabe 1
Aufgabe W1a/2015
| Im Trapez ABCD gilt: | ![]() |
|
![]() |
||
![]() |
||
| α=50,0 ° | ||
![]() |
||
| Berechnen Sie den Winkel δ1. Berechnen Sie den Flächeninhalt des Dreiecks EBD. |
||
| Lösung: δ1=34,8 ° AEBD=22,1 cm2 |
||
| |
Aufgabe W1b/2015
| Von einem rechteckigen Blatt Papier wird entlang der gestrichelten Linie ein Stück abgeschnitten und an anderer Stelle angelegt (siehe Skizze). Es gilt: |
![]() |
|
![]() M ist der Mittelpunkt von ![]() |
||
| Bea behauptet: „Das Viereck AEFG hat den gleichen Umfang wie das Rechteck ABCD.“ Hat Bea Recht? Begründen Sie Ihre Aussage rechnerisch oder durch eine Argumentation. |
||
| |
Wahlteil - Aufgabe 2
Aufgabe W2a/2015
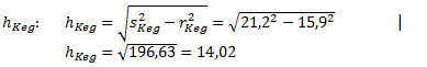
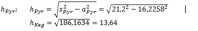
| Gegeben sind zwei Dreiviertelkreise. Aus ihnen werden der Mantel eines Kegels und der Mantel einer regelmäßigen sechsseitigen Pyramide gefertigt. |
![]() |
| Berechnen Sie die Differenz der beiden Körperhöhen. |
| Lösung: hKegel=14,02 cm hPyramide=13,64 cm |
| |
Aufgabe W2b/2015
| Ein zusammengesetzter Körper besteht aus einem gleichschenkligen Dreiecks-prisma und einem halben Kegel (siehe Grafik rechts). Es gilt: |
![]() |
||
![]() |
|||
![]() |
|||
| β=62 ° | |||
| Vges=1280 cm3 | (Volumen des zusammen-gesetzten Körpers) | ||
| Berechnen Sie die Gesamtlänge k des zusammengesetzten Körpers. | |||
| Lösung: k=23,66 cm | |||
| |
Wahlteil - Aufgabe 3
Aufgabe W3a/2015
Eine verschobenen, nach oben geöffneten Normalparabel p gehört die unvollständig ausgefüllte Wertetabelle:
|
|||||||||||||||||||
| • | Geben Sie die Gleichung der Parabel p1 an. | ||||||||||||||||||
| • | Vervollständigen Sie die Wertetabelle. | ||||||||||||||||||
| • | Eine Gerade g hat die Steigung m=-1 und geht durch den Punkt P(-2,5|6). Weisen Sie rechnerisch nach, dass p und g keine gemeinsamen Schnittpunkte haben. |
||||||||||||||||||
| • | Eine Gerade h verläuft parallel zur Geraden g und geht durch den Scheitelpunkt von p. Berechnen Sie die Koordinaten des Schnittpunktes R der Geraden h mit der x–Achse. | ||||||||||||||||||
| Lösung: R(5│0); h=-x+5 | |||||||||||||||||||
| |
Aufgabe W3b/2015
| Eine Parabel p1 der Form y=ax2+c mit dem Scheitelpunkt S1 (0|4,5) schneidet die x–Achse in den Punkten N1 (-3|0) und N2 (3|0). Eine nach oben geöffnete Normalparabel p2 hat den Scheitelpunkt S2 (3|1,5). |
|
| • | Die beiden Parabeln haben einen gemeinsamen Punkt T. Berechnen Sie die Koordinaten von T. |
| • | Die Punkte N1, N2 und T bilden ein Dreieck. Berechnen Sie den Flächeninhalt des Dreiecks N1N2T. |
| • | Der Punkt T bewegt sich auf der Parabel p1 oberhalb der x-Achse. Für welche Lage von T wird der Flächeninhalt des Dreiecks N1N2T am größten? Begründen Sie Ihre Aussage rechnerisch oder durch eine Argumentation. |
| Lösung: T(2│2,5); Dreieck N1N2T hat A=7,5 FE Maximaler Flächeninhalt für T* (0│4,5) |
|
| |
Wahlteil - Aufgabe 4
Aufgabe W4a/2015
In einem Kartenstapel liegen zwölf Karten. Die Verteilung ist in der Tabelle dargestellt. Die Karten werden gemischt und verdeckt auf den Tisch gelegt. Zwei Karten werden gleichzeitig gezogen. |
|
| • | Wir groß ist die Wahrscheinlichkeit, eine rote und eine schwarze Karte zu erhalten? |
| Lösung: P(rot und schwarz)=53,03 % | |
Die zwölf Karten werden für ein Glücksspiel eingesetzt. Es sollen ebenfalls zwei Karten gleichzeitig gezogen werden. Dazu wird der nebenstehende Gewinnplan geprüft. |
|
| • | Berechnen Sie den Erwartungswert. |
| • | Sophie macht den Vorschlag, den Gewinn für „zweimal Karo“ auf 20,00 € hochzusetzen und alles andere zu belassen. Der Betreiber des Glücksspiels protestiert und behauptet, er würde dann Verlust machen. Hat der Betreiber Recht? Begründen Sie durch Rechnung. |
| Lösung: E(X)1=0,62 €; E(X)2=0,47 €; der Spielebetreiber hat nicht Recht. | |
| |
Aufgabe W4b/2015
| David und Tom messen sich im Kugelstoßen. Beim Stoß von David verlässt die Kugel seine Hand in einer Höhe von 2,20 m (siehe Skizze). | |
| • | Nach einer horizontalen Entfernung von 4,30 m hat die Kugel die maximale Höhe 3,90 m erreicht. Die Flugbahn der Kugel lässt sich annähernd durch eine Parabel mit der Funktions-gleichung y=ax2+c beschreiben. Welche Weite hat David erzielt? |
| • | Tom stößt die Kugel ebenfalls aus dem Stoßkreis. Die Kugel verlässt seine Hand in einer Höhe von 1,90 m. Die Parabelgleichung für diesen Stoß lautet . Vergleichen Sie die beiden Kugelstoßweiten. |
| Lösung: David stößt 10,81 m Tom stößt 9,92 m David stößt um 0,89 m weiter als Tom. |
|
| |
| Du befindest dich hier: |
| Wahlteil 2015 Realschulabschluss |


- Geschrieben von Meinolf Müller Meinolf Müller
- Zuletzt aktualisiert: 20. Oktober 2019 20. Oktober 2019
























































In einem Kartenstapel liegen zwölf Karten. Die Verteilung ist in der Tabelle dargestellt. Die Karten werden gemischt und verdeckt auf den Tisch gelegt. Zwei Karten werden gleichzeitig gezogen.
Die zwölf Karten werden für ein Glücksspiel eingesetzt. Es sollen ebenfalls zwei Karten gleichzeitig gezogen werden. Dazu wird der nebenstehende Gewinnplan geprüft.

Nach einer horizontalen Entfernung von 4,30 m hat die Kugel die maximale Höhe 3,90 m erreicht. Die Flugbahn der Kugel lässt sich annähernd durch eine Parabel mit der Funktions-gleichung y=ax2+c beschreiben. Welche Weite hat David erzielt?
. 


