![]() |
2008 Abituraufgaben allg. Gymnasium Wahlteil Analytische Geometrie |
Aufgaben des Prüfungsjahres 2008 BW |
| Dokument mit 3 Aufgaben |
Aufgabe B1
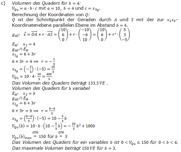
In einem Würfel mit den Eckpunkten O(0|0|0), P(10|10|0) und S(0|0|10) befindet sich eine Pyramide mit einem Dreieck als Grundfläche und der Spitze S (vgl. Skizze).Die Eckpunkte der Pyramidengrundfläche sind A(10|6|0), B(6|10|0) und C(10|10|5).
|
||||
|
| |
Aufgabe B2.1
| Die Punkte A(5|0|0), B(5|3|0), C(5|0|4), F(0|0|0), G(0|3|0) und H(0|0|4) sind die Ecken eines dreiseitigen Prismas mit Grundfläche ABC. | |
| a) | Stellen Sie das Prisma in einem Koordinatensystem dar. Bestimmen Sie eine Koordinatengleichung der Ebene E, in der die Fläche BGHC liegt. Unter welchem Winkel schneidet E die x1x2-Ebene? Berechnen Sie den Abstand des Punktes A von der Geraden CG. (Teilergebnis: E: 4x2+3x3=12) |
| b) | Im Prisma liegt ein Zylinder mit Radius 0,5 und Grundkreismittelpunkt M(0|0,5|0,5), dessen Achse parallel zur x1-Achse verläuft. Ermitteln Sie die Abstände des Punktes M von den drei rechteckigen Seitenflächen des Prismas. Berührt der Zylinder alle drei rechteckigen Seitenflächen des Prismas? Ein anderer Zylinder mit Radius r und Grundkreismittelpunkt M*(0|r|r), dessen Achse ebenfalls parallel zur x1-Achse ist, soll alle drei rechteckigen Seitenflächen des Prismas von innen berühren. Bestimmen Sie den Radius r dieses Zylinders. |
| |


- Geschrieben von Meinolf Müller Meinolf Müller
- Zuletzt aktualisiert: 17. Juli 2019 17. Juli 2019


In einem Würfel mit den Eckpunkten O(0|0|0), P(10|10|0) und S(0|0|10) befindet sich eine Pyramide mit einem Dreieck als Grundfläche und der Spitze S (vgl. Skizze).









.



