![]() |
2009 Abituraufgaben allg. Gymnasium Wahlteil Analytische Geometrie |
Aufgaben des Prüfungsjahres 2009 BW |
| Dokument mit 3 Aufgaben |
Aufgabe B1
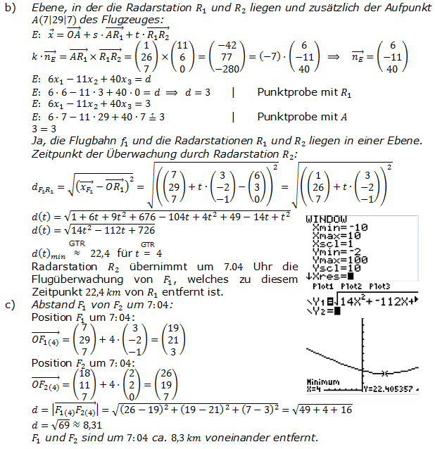
| Die x1x2-Ebene beschreibt eine flache Landschaft, in der ein Flugplatz liegt. Eine Radarstation befindet sich im Punkt R1(6|3|0). Das Radar erfasst ein Testflugzeug F1 um 7.00 Uhr im Punkt P(7|29|7) und ermittelt als Flugbahn des Flugzeugs |
|
. |
|
| (t in Minuten nach 7.00 Uhr, Koordinatenangaben in km.) | |
| a) | In welchem Punkt befindet sich das Flugzeug um 7.01 Uhr? Woran erkennen Sie, dass sich das Flugzeug im Sinkflug befindet? Bestimmen Sie die Geschwindigkeit des Flugzeugs in km/h. Unter welchem Winkel fliegt das Flugzeug auf den Boden zu? Zu welcher Uhrzeit und in welchem Punkt würde es bei Beibehaltung dieser Flugbahn auf dem Boden aufsetzen? |
| b) | Eine weitere Radarstation befindet sich im Punkt R2(17|9|0). Der Anflug des Testflugzeugs F1 auf den Flugplatz ist optimal, wenn die Flugbahn f1 und die beiden Radarstationen in einer Ebene liegen. Prüfen Sie, ob das zutrifft. Die Radarstation R2 übernimmt die Flugüberwachung zu dem Zeitpunkt, ab dem sich das Flugzeug von R1 entfernt. Um wie viel Uhr ist dies der Fall? |
| c) | Die Flugbahn eines zweiten Testflugzeugs F2 wird beschrieben durch |
. |
|
| (t in Minuten nach 7.00 Uhr, Koordinatenangaben in km). Wie weit sind die Flugzeuge F1 und F2 um 7.04 Uhr voneinander entfernt? Berechnen Sie, wie nahe sich die beiden Flugzeuge kommen. |
|
| |
Aufgabe B2.1
| Die Grundfläche einer dreiseitigen Pyramide hat die Eckpunkte P(0|-6|0), Q(12|0|0) und R(0|6|0). Die Pyramide wird von einer Ebene geschnitten und der obere Teilkörper wird entfernt. Die Deckfläche des so entstandenen Pyramidenstumpfs hat die Eckpunkte P*(0|-2|2), Q*(2|0|2,5) und R*(0|1|2,5). Bestimmen Sie den Winkel, den die Kante QQ* mit der x1-Achse bildet. Zeigen Sie, dass S(0|0|3) die Spitze der ursprünglichen Pyramide ist. |
|
| a) | Stellen Sie den Pyramidenstumpf in einem Koordinatensystem dar. Begründen Sie, dass die Deck- und die Grundfläche des Pyramiden-Stumpfes nicht parallel sind. |
| b) | Bestimmen Sie den Abstand des Punktes Q* von der Geraden durch Q und R. Zeigen Sie, dass die Seitenfläche QRR*Q* des Pyramidenstumpfs ein Trapez ist. Berechnen Sie den Flächeninhalt dieses Trapezes. |
| |


- Geschrieben von Meinolf Müller Meinolf Müller
- Zuletzt aktualisiert: 17. Juli 2019 17. Juli 2019


.
.









Das Rechteck ABC ist dreimal so lang wie breit. Für den Punkt T gilt
.
und
orthogonal sind.




