![]() |
Ableitung Exponentialfunktion - Level 2 - Fortgeschritten - Blatt 2 |
| Dokument mit 23 Aufgaben |
Aufgabe A1 (8 Teilaufgaben)
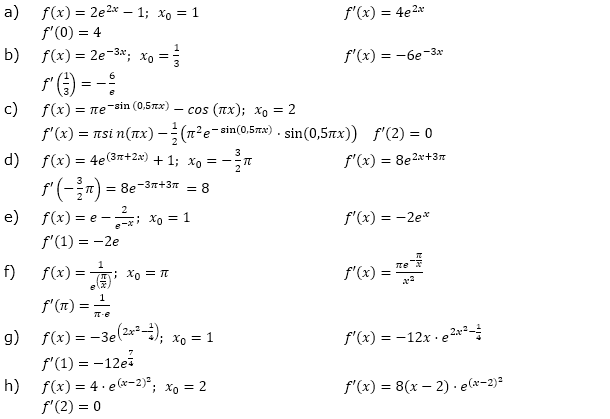
Bestimme die erste Ableitung und vereinfache soweit wie möglich.![]() |
| |
Aufgabe A2 (12 Teilaufgaben)
Bestimme den exakten Wert der Steigung des Graphen von f an der Stelle x0.![]() |
| |
Aufgabe A3
| In welchem Punkt hat der Graph von f mit f(x)=x2⋅e2x dieselbe Steigung wie die erste Winkelhalbierende bzw. die x-Achse? |
| |
| Du befindest dich hier: |
| Ableitung Exponentialfunktion Level 2 - Fortgeschritten - Blatt 2 |


- Geschrieben von Meinolf Müller Meinolf Müller
- Zuletzt aktualisiert: 16. Juli 2021 16. Juli 2021








für
.


