![]() |
Produkt- und Quotientenregel - Level 3 - Expert - Blatt 4 |
| Dokument mit 19 Aufgaben |
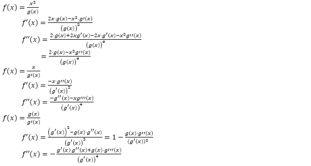
Aufgabe A1 (6 Teilaufgaben)
Leite mit Hilfe der Quotienten- und der Kettenregel ab.![]() |
| |
| Du befindest dich hier: |
| Produkt- und Quotientenregel - Level 3 - Expert - Blatt 4 |


- Geschrieben von Meinolf Müller Meinolf Müller
- Zuletzt aktualisiert: 16. Juli 2021 16. Juli 2021








.







