![]() |
Ableitung Exponentialfunktion - Level 1 - Grundlagen - Blatt 1 |
| Dokument mit 20 Aufgaben |
Aufgabe A2 (7 Teilaufgaben)
Bilde die Ableitungen der Exponentialfunktionen und vereinfache so weit wie möglich.![]() |
| |
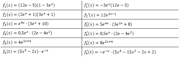
Aufgabe A3 (6 Teilaufgaben)
Drei der sechs Ableitungen wurden falsch abgeleitet. Suche den Fehler und korrigiere. ![]() |
| |
| Du befindest dich hier: |
| Ableitung Exponentialfunktion - Level 1 - Grundlagen - Blatt 1 |


- Geschrieben von Meinolf Müller Meinolf Müller
- Zuletzt aktualisiert: 16. Juli 2021 16. Juli 2021









