![]() |
Ableitungen Tangente und Normale - Level 3 - Expert - Blatt 1 |
| Dokument mit 13 Aufgaben |
Aufgabe A1
K ist das Schaubild der Funktion f mit .Es gibt zwei Tangenten an K, die parallel zur ersten Winkelhalbierenden verlaufen. Bestimme die Koordinaten der Berührpunkte exakt. |
| |
Aufgabe A2
Gegeben ist die Funktion f mit mit Schaubild K.t ist die Tangenten an K in x=2, n ist die Normale an K in P(-1│f(-1)). Bestimme die Koordinaten des gemeinsamen Punktes von t und n. |
| |
Aufgabe A3
Die Abbildung zeigt den Querschnitt eines Erdhügels.Für 3≤x≤6 wird die Berandung beschrieben durch die Funktion f mit ![]() Im Punkt P(4│f(4)) wurde tangential eine Rampe angelegt. Der Herstelle eines Geländewagens gibt den maximalen Steigungswinkel von 42 ° an. Kommt der Geländewagen die Rampe hoch? |
| |
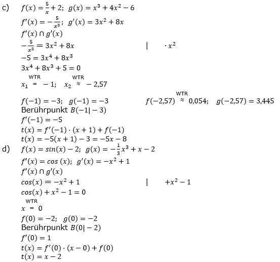
Aufgabe A4 (6 Teilaufgaben)
Zeige, dass sich die Graphen von f und g berühren und bestimme die Koordinaten des Berührpunktes P sowie eine Gleichung der gemeinsamen Tangente.![]() |
| |
Aufgabe A5 (4 Teilaufgaben)
Bestimme die Parameter a und b im Term der Funktion f so, dass sich die Graphen von f und g an der Stelle x0 berühren.![]() |
| |
| Du befindest dich hier: |
| Ableitungen Tangente und Normale - Level 3 - Expert - Blatt 1 |


- Geschrieben von Meinolf Müller Meinolf Müller
- Zuletzt aktualisiert: 16. Juli 2021 16. Juli 2021


.
mit Schaubild K.
Die Abbildung zeigt den Querschnitt eines Erdhügels.











