![]() |
Produkt- und Quotientenregel - Level 1 - Grundlagen - Blatt 3 |
| Dokument mit 20 Aufgaben |
Aufgabe A1 (7 Teilaufgaben)
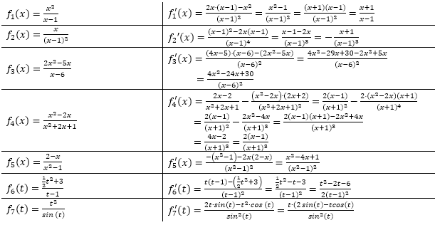
Bilde die Ableitungen mit Hilfe der Quotientenregel und vereinfache so weit wie möglich.![]() |
| |
Aufgabe A2 (7 Teilaufgaben)
Bilde die Ableitungen mit Hilfe der Quotientenregel und vereinfache so weit wie möglich.![]() |
| |
Aufgabe A3 (6 Teilaufgaben)
Drei der sechs Ableitungen wurden falsch abgeleitet. Suche den Fehler und korrigiere.![]() |
| |
| Du befindest dich hier: |
| Produkt- und Quotientenregel - Level 1 - Grundlagen - Blatt 3 |


- Geschrieben von Meinolf Müller Meinolf Müller
- Zuletzt aktualisiert: 16. Juli 2021 16. Juli 2021









