![]() |
Ableitungen Vermischte Aufgaben - Level 1 - Grundlagen - Blatt 1 |
| Dokument mit 28 Aufgaben |
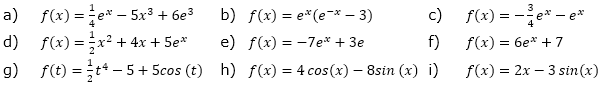
Aufgabe A1 (18 Teilaufgaben)
Bilde die 1. Ableitung der gegebenen Funktionsgleichungen und vereinfach so weit wie möglich.![]() |
| |
Aufgabe A3
| Gegeben ist das Weg-Zeit-Gesetz s(t)=5t2+3t+8. Bestimme das zugehörige Geschwindigkeits-Zeit-sowie das Bescheunigungs-Zeit-Gesetz. |
| |
| Du befindest dich hier: |
| Ableitungen Vermischte Aufgaben - Level 1 - Grundlagen - Blatt 1 |


- Geschrieben von Meinolf Müller Meinolf Müller
- Zuletzt aktualisiert: 08. Juli 2021 08. Juli 2021








