![]() |
Konstanten-, Faktor- und Potenzregel - Level 3 - Expert - Blatt 2 |
| Dokument mit 22 Aufgabe |
Aufgabe A1 (8 Teilaufgaben)
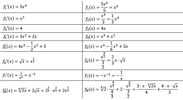
Die Funktion f' ist die Ableitungsfunktion einer Funktion f. Finde eine mögliche Funktionsgleichung für f.![]() |
| |
Aufgabe A2 (8 Teilaufgaben)
f' sei die Ableitungsfunktione einer Funktion f. Finde eine mögliche Funktionsgleichung für f.![]() |
| |
Aufgabe A3 (6 Teilaufgaben)
Ordne die nachfolgende Tabelle so, dass die Funktion fn sowie deren 1. und 2. Ableitung fn' und fn'' jeweils in einer Zeile stehen.![]() |
| |
| Du befindest dich hier: |
| Konstanten-, Faktor- und Potenzregel Level 3 - Expert - Blatt 2 |


- Geschrieben von Meinolf Müller Meinolf Müller
- Zuletzt aktualisiert: 16. Juli 2021 16. Juli 2021









