![]() |
Nullstellen ganzrationaler Funktionen - Level 1 - Grundlagen - Blatt 3 |
| Dokument mit 43 Aufgaben |
Aufgabe A1 (4 Teilaufgaben)
| a) | Bestimme die Nullstellen der nachfolgenden Funktionen: | |||
| 1) | f(x)=2x4-12 | 2) | f(x)=-x3-54 | |
| 3) | f(x)=x4+1 | |||
| b) | Bestimme die Nullstellen der Funktion f mit f(x)=(x3-125)(x2-2x-63) | |||
| c) | Bestimme die Nullstellen der Funktion f mit f(x)=x5-4x3-5x | |||
| d) | Gib drei Beispiele von Funktionen verschiedener Grade mit genau den Nullstellen x1=-2 und x2=3 an. Skizziere den Graphen. | |||
| |
| Verwende in dieser Aufgabe die nachfolgenden Nullstellenverfahren: | |
| a) | Nullstellen durch Wurzelziehen |
| b) | Nullstellen durch Linearfaktorzerlegung |
| c) | Nullstellen durch Ausklammern von x |
| d) | Nullstellen durch Substitution |
Aufgabe A3 (7 Teilaufgaben)
| Gib die Schnittpunkte mit den Koordinatenachsen nachfolgender Funktionen an: | |||
![]() |
|||
| f) | ![]() |
g) | ![]() |
| |
| Teilaufgaben a) bis d): Verwende Nullstellen durch Linearfaktorzerlegung. |
| Teilaufgabe e) Lies die Werte aus der Tabelle ab. |
| Teilaufgaben f) znd g) Lies die Werte aus der Grafik ab. |
Aufgabe A4 (6 Teilaufgaben)
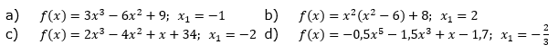
| Gib die Koordinaten der Achsenschnittpunkte der Graphen an. |
![]() |
| |
| Verwende für alle Teilaufgaben Nullstellen durch Wurzelziehen. |
Aufgabe A5 (6 Teilaufgaben)
| Berechne die Schnittpunkte der Graphen der Funktionen mit den Koordinatenachsen. |
![]() |
| |
| Verwende für alle Teilaufgaben Nullstellen durch Ausklammern von x. |
| Verwende für alle Teilaufgaben Nullstellen durch Substitution. |
Aufgabe A8 (4 Teilaufgaben)
| Gib zwei ganzrationale Funktionen an, die | |
| a) | die Nullstellen 0, 2 und 5 haben. |
| b) | die Nullstellen 0, -√3 und √3 haben. |
| c) | den Grad 3 und die Nullstelle 2 haben. |
| d) | Den Grad 3, die Nullstellen -2 und 3 haben sowie die y-Achse in Sy (0|4) schneiden. |
| |
| Du befindest dich hier: |
| Nullstellen ganzrationaler Funktionen - Level 1 - Grundlagen - Blatt 3 |

- Geschrieben von Meinolf Müller Meinolf Müller
- Zuletzt aktualisiert: 16. Juli 2021 16. Juli 2021






































